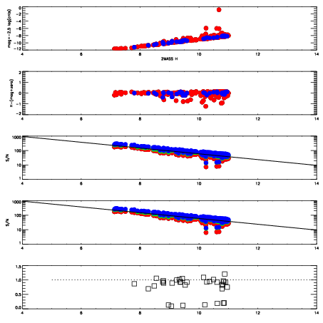
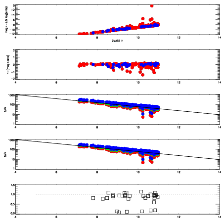
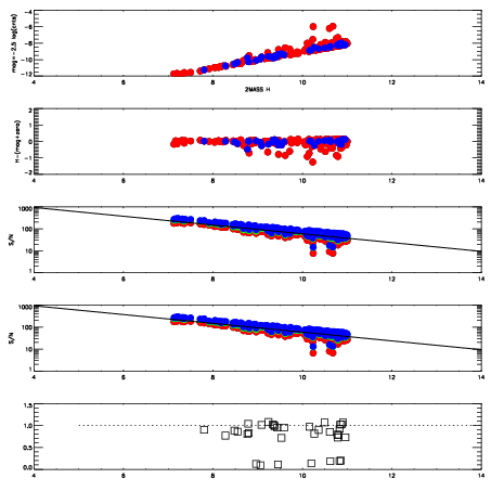
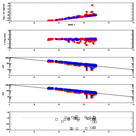
| Frame | Nreads | Zeropoints | Mag plots
| Spatial mag deviation
| Spatial sky 16325A emission deviations (filled: sky, open: star)
| Spatial sky continuum emission
| Spatial sky telluric CO2 absorption deviations (filled: H < 10)
|
| 8850011
| 47
| | Red | Green | Blue
| | z | | 19.02
| | znorm | | 14.84
| | sky | 14.4 | 14.4 | 14.4
| | S/N | 18.2 | 26.5 | 29.4
| | S/N(c) | 17.0 | 25.4 | 28.5
| | SN(E/C) | 0.86
|
|
|
|
|
|
|
| 8850012
| 47
| | Red | Green | Blue
| | z | | 19.01
| | znorm | | 14.83
| | sky | 14.5 | 14.5 | 14.5
| | S/N | 18.2 | 26.7 | 29.5
| | S/N(c) | 16.9 | 25.4 | 28.5
| | SN(E/C) | 0.91
|
|
|
|
|
|
|
| 8850013
| 47
| | Red | Green | Blue
| | z | | 19.00
| | znorm | | 14.82
| | sky | 14.2 | 14.4 | 14.5
| | S/N | 17.9 | 26.4 | 29.5
| | S/N(c) | 16.6 | 25.4 | 28.4
| | SN(E/C) | 0.92
|
|
|
|
|
|
|
| 8850014
| 47
| | Red | Green | Blue
| | z | | 18.98
| | znorm | | 14.80
| | sky | 14.6 | 14.3 | 14.6
| | S/N | 17.9 | 26.3 | 29.1
| | S/N(c) | 16.5 | 25.1 | 28.0
| | SN(E/C) | 0.86
|
|
|
|
|
|
|
| 8850015
| 47
| | Red | Green | Blue
| | z | | 18.93
| | znorm | | 14.75
| | sky | 14.6 | 14.4 | 14.6
| | S/N | 17.3 | 25.6 | 28.3
| | S/N(c) | 16.0 | 24.5 | 27.1
| | SN(E/C) | 0.90
|
|
|
|
|
|
|
| 8850016
| 47
| | Red | Green | Blue
| | z | | 19.06
| | znorm | | 14.88
| | sky | 14.2 | 14.3 | 14.4
| | S/N | 18.5 | 27.3 | 30.3
| | S/N(c) | 17.3 | 26.1 | 29.1
| | SN(E/C) | 0.88
|
|
|
|
|
|
|
| 8850017
| 47
| | Red | Green | Blue
| | z | | 19.05
| | znorm | | 14.87
| | sky | 14.3 | 14.4 | 14.6
| | S/N | 18.3 | 27.1 | 29.9
| | S/N(c) | 17.1 | 26.0 | 28.9
| | SN(E/C) | 0.89
|
|
|
|
|
|
|
| 8850018
| 47
| | Red | Green | Blue
| | z | | 19.06
| | znorm | | 14.88
| | sky | 14.3 | 14.5 | 14.6
| | S/N | 18.4 | 27.1 | 30.2
| | S/N(c) | 17.3 | 26.0 | 29.1
| | SN(E/C) | 0.85
|
|
|
|
|
|
|