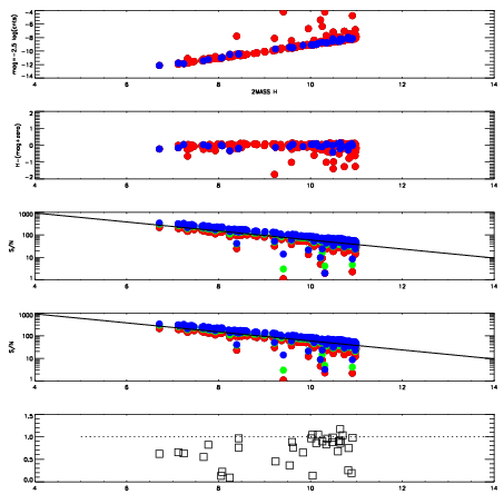
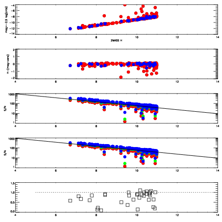
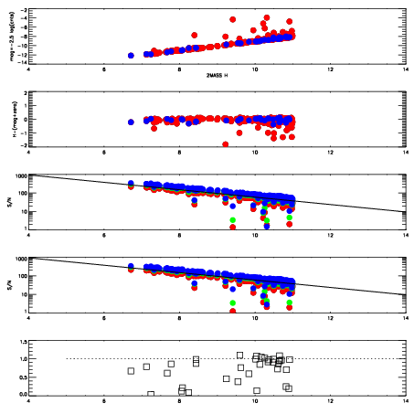
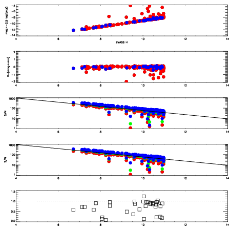
Left plots: red are targets, blue are telluric. Observed mags are calculated from median value of green chip. Zeropoint gives overall throughput: bigger number is more throughput.
First spatial plots: circles are objects, squares are tellurics, crosses are sky fibers. Colors give deviation of observed mag from expected 2MASS mag using the median zeropoint; red is brighter
Second spatial plots: circles are sky fibers. Colors give sky line brightness relative to plate median sky line brightness
FrameNreadsZeropointsMag plots Spatial mag deviation Spatial sky 16325A emission deviations (filled: sky, open: star) Spatial sky continuum emission Spatial sky telluric CO2 absorption deviations (filled: H < 10)
8800035 47
RedGreenBlue
z19.07
znorm14.89
sky 14.5 14.2 14.1
S/N 18.3 26.7 29.4
S/N(c) 17.4 25.6 28.8
SN(E/C) 0.86
8800036 47
RedGreenBlue
z19.07
znorm14.89
sky 14.5 14.4 14.2
S/N 18.2 26.5 29.4
S/N(c) 17.2 25.8 28.6
SN(E/C) 0.77
8800037 47
RedGreenBlue
z19.06
znorm14.88
sky 14.7 14.4 14.2
S/N 18.2 26.7 29.4
S/N(c) 17.3 25.9 28.6
SN(E/C) 0.82
8800038 47
RedGreenBlue
z19.02
znorm14.84
sky 14.6 14.3 14.2
S/N 17.9 26.3 28.7
S/N(c) 16.6 25.3 27.9
SN(E/C) 0.84