PLATE: 6907 MJD: 56413 FIELD: K11_076+13

FrameCartsec zseeingNreadsDitherPixshiftZerosky continuumS/NS/N(c)
8510040 5 1.31 1.44 47 0.00 0.00 18.95 [14.80,14.57,14.44] [ 12.3, 21.0, 22.3] [ 11.2, 19.4, 21.5]
8510041 5 1.28 1.43 47 0.29 -0.00 19.00 [14.30,14.50,14.65] [ 12.7, 21.8, 23.4] [ 11.6, 20.2, 22.6]
8510042 5 1.26 1.34 47 0.29 -0.00 19.04 [14.52,14.52,14.64] [ 13.0, 22.4, 24.1] [ 11.8, 20.7, 23.1]
8510043 5 1.23 1.26 47 0.02 -0.00 18.99 [14.49,14.63,14.67] [ 12.7, 21.5, 23.1] [ 11.5, 20.0, 22.2]
8510044 5 1.21 1.35 47 0.01 -0.00 19.03 [14.51,14.63,14.76] [ 12.9, 22.2, 23.9] [ 11.9, 20.7, 22.9]
8510045 5 1.19 1.21 47 0.28 0.00 19.02 [14.64,14.58,14.75] [ 13.1, 22.2, 24.1] [ 11.9, 20.7, 23.1]
8510046 5 1.17 1.32 47 0.30 -0.00 19.07 [14.74,14.62,14.66] [ 13.5, 22.7, 24.3] [ 12.3, 21.1, 23.5]
8510047 5 1.15 1.23 47 0.02 0.00 19.07 [14.63,14.62,14.77] [ 13.4, 22.7, 24.5] [ 12.4, 21.2, 23.6]

IPAIRNAMESHIFTNEWSHIFTS/N NAMESHIFTNEWSHIFTS/N
0 08510046 0.301 0.000 298.62 08510047 0.015 0.286 298.59
1 08510042 0.292 0.009 297.65 08510044 0.014 0.287 295.37
2 08510045 0.281 0.021 294.43 08510043 0.020 0.281 291.08
3 08510041 0.293 0.009 293.95 08510040 0.000 0.301 290.11

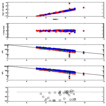
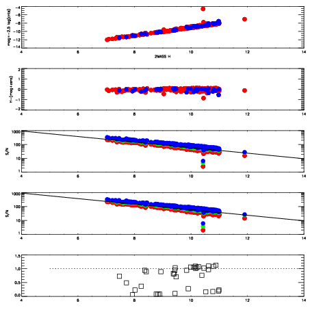
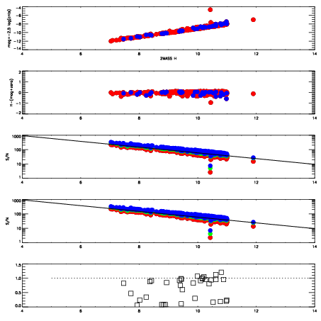
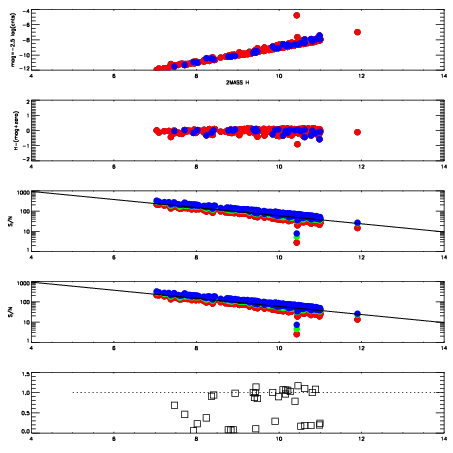
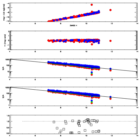
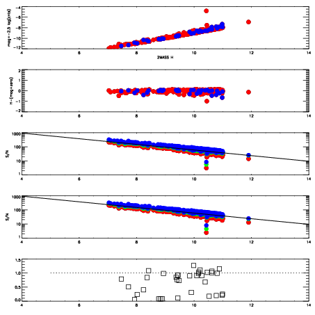
Visit (multiple exposure and dither combined) spectra

FrameZeropointsMag plots Spatial mag deviation Spatial sky 16325A emission deviations (filled: sky, open: star) Spatial sky continuum emission Spatial sky telluric CO2 absorption deviations (filled: H < 10)
8510040
RedGreenBlue
z18.95
znorm14.77
sky 14.8 14.6 14.4
S/N 12.3 21.0 22.3
S/N(c) 11.2 19.4 21.5
SN(E/C) 0.84
8510041
RedGreenBlue
z19.00
znorm14.82
sky 14.3 14.5 14.6
S/N 12.7 21.8 23.4
S/N(c) 11.6 20.2 22.6
SN(E/C) 0.88
8510042
RedGreenBlue
z19.04
znorm14.86
sky 14.5 14.5 14.6
S/N 13.0 22.4 24.1
S/N(c) 11.8 20.7 23.1
SN(E/C) 0.83
8510043
RedGreenBlue
z18.99
znorm14.81
sky 14.5 14.6 14.7
S/N 12.7 21.5 23.1
S/N(c) 11.5 20.0 22.2
SN(E/C) 0.86
8510044
RedGreenBlue
z19.03
znorm14.85
sky 14.5 14.6 14.8
S/N 12.9 22.2 23.9
S/N(c) 11.9 20.7 22.9
SN(E/C) 0.85
8510045
RedGreenBlue
z19.02
znorm14.84
sky 14.6 14.6 14.7
S/N 13.1 22.2 24.1
S/N(c) 11.9 20.7 23.1
SN(E/C) 0.81
8510046
RedGreenBlue
z19.07
znorm14.89
sky 14.7 14.6 14.7
S/N 13.5 22.7 24.3
S/N(c) 12.3 21.1 23.5
SN(E/C) 0.82
8510047
RedGreenBlue
z19.07
znorm14.89
sky 14.6 14.6 14.8
S/N 13.4 22.7 24.5
S/N(c) 12.4 21.2 23.6
SN(E/C) 0.84