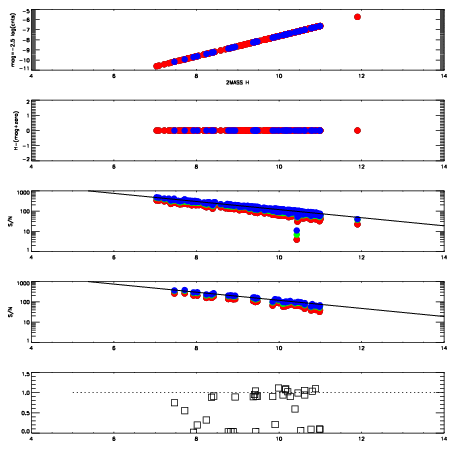
Left plots: red are targets, blue are telluric. Observed mags are calculated from median value of green chip. Zeropoint gives overall throughput: bigger number is more throughput.
First spatial plots: circles are objects, squares are tellurics, crosses are sky fibers. Colors give deviation of observed mag from expected 2MASS mag using the median zeropoint; red is brighter
Second spatial plots: circles are sky fibers. Colors give sky line brightness relative to plate median sky line brightness
FrameNreadsZeropointsMag plots Spatial mag deviation Spatial sky 16325A emission deviations (filled: sky, open: star) Spatial sky continuum emission Spatial sky telluric CO2 absorption deviations (filled: H < 10)
0 0
RedGreenBlue
z17.64
znorm Inf
sky -Inf -NaN -Inf
S/N 19.3 32.5 35.1
S/N(c) 0.0 0.0 0.0
SN(E/C) 0.90

IPAIRNAMESHIFTNEWSHIFTS/N NAMESHIFTNEWSHIFTS/N
0 08510046 0.301381 0.00000 298.618 08510047 0.0151175 0.286263 298.587
1 08510042 0.292189 0.00919199 297.652 08510044 0.0142768 0.287104 295.368
2 08510045 0.280858 0.0205230 294.426 08510043 0.0201605 0.281220 291.082
3 08510041 0.292519 0.00886199 293.953 08510040 0.00000 0.301381 290.110