PLATE: 6908 MJD: 56443 FIELD: K12_074+15

FrameCartsec zseeingNreadsDitherPixshiftZerosky continuumS/NS/N(c)
8810037 8 1.02 1.44 47 0.00 -0.00 19.06 [14.76,14.39,14.50] [ 18.1, 26.8, 29.4] [ 16.8, 26.0, 28.4]
8810038 8 1.03 1.49 47 0.28 0.00 19.08 [14.48,14.29,14.52] [ 18.0, 26.9, 29.4] [ 16.9, 26.0, 28.5]
8810039 8 1.03 1.49 47 0.28 0.00 19.08 [14.52,14.37,14.52] [ 18.1, 27.0, 29.6] [ 17.0, 25.9, 28.7]
8810040 8 1.04 1.36 47 0.02 -0.00 19.14 [14.42,14.45,14.58] [ 18.7, 27.7, 30.4] [ 17.5, 26.8, 29.5]
8810041 8 1.05 1.33 47 0.02 -0.00 19.14 [14.58,14.51,14.52] [ 18.7, 27.8, 30.4] [ 17.6, 26.7, 29.5]
8810042 8 1.06 1.37 47 0.27 0.00 19.12 [14.60,14.48,14.58] [ 18.5, 27.7, 30.3] [ 17.5, 26.5, 29.4]

IPAIRNAMESHIFTNEWSHIFTS/N NAMESHIFTNEWSHIFTS/N
0 08810038 0.283 0.000 248.60 08810040 0.018 0.265 252.73
1 08810042 0.265 0.018 251.99 08810041 0.019 0.264 252.87
2 08810039 0.280 0.003 247.97 08810037 0.000 0.283 246.08

Visit (multiple exposure and dither combined) spectra

FrameZeropointsMag plots Spatial mag deviation Spatial sky 16325A emission deviations (filled: sky, open: star) Spatial sky continuum emission Spatial sky telluric CO2 absorption deviations (filled: H < 10)
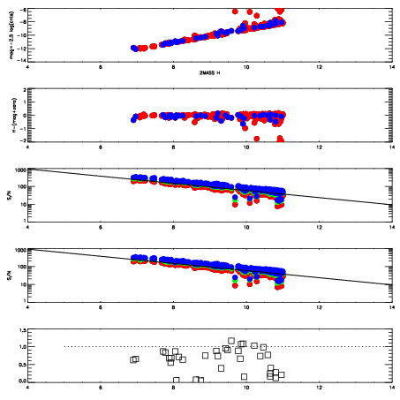
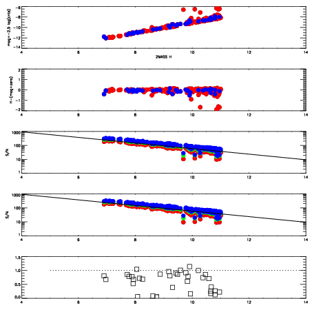
8810037
RedGreenBlue
z19.06
znorm14.88
sky 14.8 14.4 14.5
S/N 18.1 26.8 29.4
S/N(c) 16.8 26.0 28.4
SN(E/C) 0.74
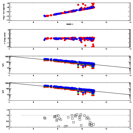
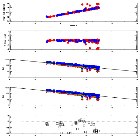
8810038
RedGreenBlue
z19.08
znorm14.90
sky 14.5 14.3 14.5
S/N 18.0 26.9 29.4
S/N(c) 16.9 26.0 28.5
SN(E/C) 0.74
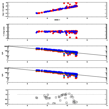
8810039
RedGreenBlue
z19.08
znorm14.90
sky 14.5 14.4 14.5
S/N 18.1 27.0 29.6
S/N(c) 17.0 25.9 28.7
SN(E/C) 0.71
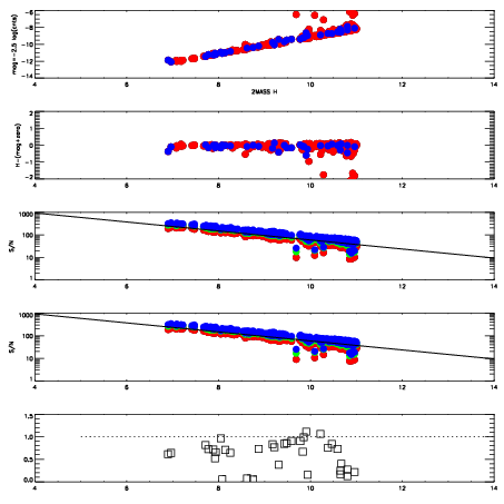
8810040
RedGreenBlue
z19.14
znorm14.96
sky 14.4 14.5 14.6
S/N 18.7 27.7 30.4
S/N(c) 17.5 26.8 29.5
SN(E/C) 0.71
8810041
RedGreenBlue
z19.14
znorm14.96
sky 14.6 14.5 14.5
S/N 18.7 27.8 30.4
S/N(c) 17.6 26.7 29.5
SN(E/C) 0.68
8810042
RedGreenBlue
z19.12
znorm14.94
sky 14.6 14.5 14.6
S/N 18.5 27.7 30.3
S/N(c) 17.5 26.5 29.4
SN(E/C) 0.70