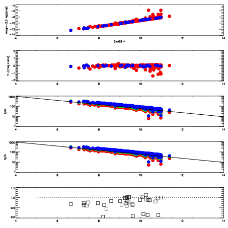
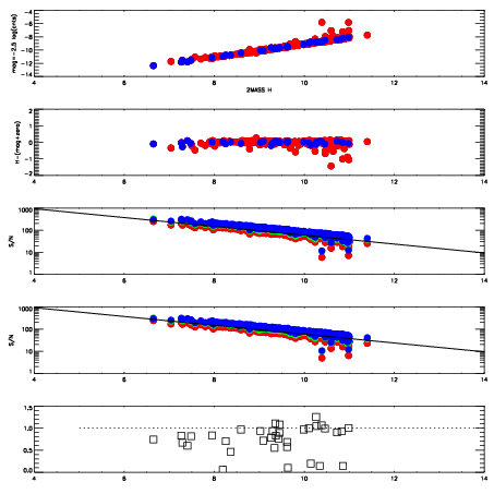
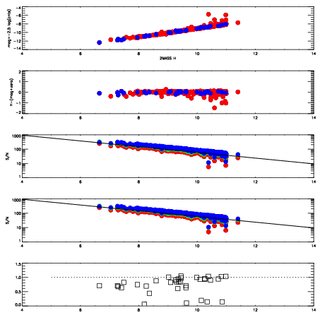
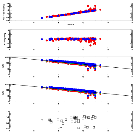
| Frame | Nreads | Zeropoints | Mag plots
| Spatial mag deviation
| Spatial sky 16325A emission deviations (filled: sky, open: star)
| Spatial sky continuum emission
| Spatial sky telluric CO2 absorption deviations (filled: H < 10)
|
| 8780034
| 47
| | Red | Green | Blue
| | z | | 19.05
| | znorm | | 14.87
| | sky | 14.4 | 14.2 | 14.1
| | S/N | 17.3 | 25.8 | 29.0
| | S/N(c) | 15.6 | 23.9 | 27.8
| | SN(E/C) | 0.83
|
|
|
|
|
|
|
| 8780035
| 47
| | Red | Green | Blue
| | z | | 19.09
| | znorm | | 14.91
| | sky | 14.2 | 14.2 | 14.3
| | S/N | 17.2 | 26.0 | 29.3
| | S/N(c) | 15.5 | 24.0 | 28.1
| | SN(E/C) | 0.77
|
|
|
|
|
|
|
| 8780036
| 47
| | Red | Green | Blue
| | z | | 19.11
| | znorm | | 14.93
| | sky | 14.3 | 14.3 | 14.3
| | S/N | 17.4 | 26.3 | 29.7
| | S/N(c) | 15.6 | 24.3 | 28.4
| | SN(E/C) | 0.82
|
|
|
|
|
|
|
| 8780037
| 47
| | Red | Green | Blue
| | z | | 19.10
| | znorm | | 14.92
| | sky | 14.3 | 14.3 | 14.3
| | S/N | 17.4 | 26.3 | 29.7
| | S/N(c) | 15.7 | 24.4 | 28.4
| | SN(E/C) | 0.83
|
|
|
|
|
|
|
| 8780038
| 47
| | Red | Green | Blue
| | z | | 19.10
| | znorm | | 14.92
| | sky | 14.3 | 14.3 | 14.2
| | S/N | 17.2 | 26.1 | 29.3
| | S/N(c) | 15.6 | 24.3 | 28.1
| | SN(E/C) | 0.84
|
|
|
|
|
|
|
| 8780039
| 47
| | Red | Green | Blue
| | z | | 19.12
| | znorm | | 14.94
| | sky | 14.4 | 14.4 | 14.2
| | S/N | 17.5 | 26.5 | 29.8
| | S/N(c) | 15.9 | 24.5 | 28.7
| | SN(E/C) | 0.76
|
|
|
|
|
|
|
| 8780040
| 47
| | Red | Green | Blue
| | z | | 19.13
| | znorm | | 14.95
| | sky | 14.3 | 14.4 | 14.2
| | S/N | 17.5 | 26.6 | 29.8
| | S/N(c) | 16.0 | 24.6 | 28.7
| | SN(E/C) | 0.79
|
|
|
|
|
|
|
| 8780041
| 47
| | Red | Green | Blue
| | z | | 19.12
| | znorm | | 14.94
| | sky | 14.2 | 14.3 | 14.3
| | S/N | 17.3 | 26.3 | 29.8
| | S/N(c) | 15.8 | 24.4 | 28.7
| | SN(E/C) | 0.79
|
|
|
|
|
|
|