Frame | Cart | sec z | seeing | Nreads | Dither | Pixshift | Zero | sky continuum | S/N | S/N(c) |
8670012 | 3 | 1.30 | 1.29 | 47 | 0.00 | 0.00 | 18.94 | [14.88,14.87,14.76] | [ 14.8, 24.3, 24.1] | [ 13.4, 22.6, 22.6] |
8670013 | 3 | 1.31 | 1.21 | 47 | 0.61 | -0.00 | 18.99 | [14.35,14.80,15.05] | [ 15.3, 24.4, 25.1] | [ 13.8, 22.9, 23.4] |
IPAIR | NAME | SHIFT | NEWSHIFT | S/N | NAME | SHIFT | NEWSHIFT | S/N |
0 | 08670013 | 0.613 | 0.000 | 259.83 | 08670012 | 0.000 | 0.613 | 251.90 |
Visit (multiple exposure and dither combined) spectra
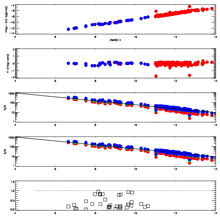
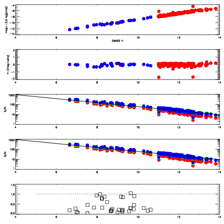
Frame | Zeropoints | Mag plots | Spatial mag deviation | Spatial sky 16325A emission deviations (filled: sky, open: star) | Spatial sky continuum emission | Spatial sky telluric CO2 absorption deviations (filled: H < 10) | ||||||||||||||||||||||||
8670012 |
| ![]() | ![]() | ![]() | ![]() | ![]() | ||||||||||||||||||||||||
8670013 |
| ![]() | ![]() | ![]() | ![]() | ![]() |