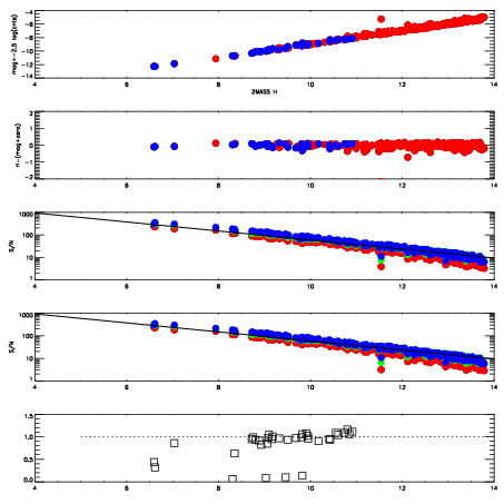
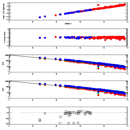
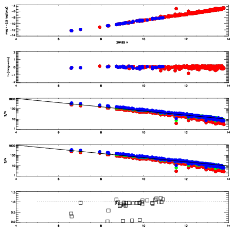
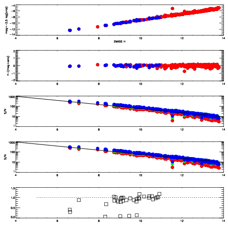
Left plots: red are targets, blue are telluric. Observed mags are calculated from median value of green chip. Zeropoint gives overall throughput: bigger number is more throughput.
First spatial plots: circles are objects, squares are tellurics, crosses are sky fibers. Colors give deviation of observed mag from expected 2MASS mag using the median zeropoint; red is brighter
Second spatial plots: circles are sky fibers. Colors give sky line brightness relative to plate median sky line brightness
FrameNreadsZeropointsMag plots Spatial mag deviation Spatial sky 16325A emission deviations (filled: sky, open: star) Spatial sky continuum emission Spatial sky telluric CO2 absorption deviations (filled: H < 10)
10360011 47
RedGreenBlue
z19.03
znorm14.85
sky 14.8 14.2 14.0
S/N 15.8 24.4 24.9
S/N(c) 14.5 22.5 23.1
SN(E/C) 0.96
10360012 47
RedGreenBlue
z19.02
znorm14.84
sky 15.2 14.7 14.8
S/N 15.4 24.8 25.8
S/N(c) 14.1 22.4 23.9
SN(E/C) 0.93
10360013 47
RedGreenBlue
z18.96
znorm14.78
sky 15.1 14.8 14.8
S/N 14.3 23.9 24.9
S/N(c) 13.1 21.6 22.9
SN(E/C) 0.95
10360014 47
RedGreenBlue
z18.97
znorm14.79
sky 15.0 14.8 14.9
S/N 14.6 24.0 24.9
S/N(c) 13.2 21.7 22.8
SN(E/C) 0.95