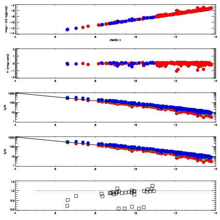
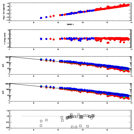
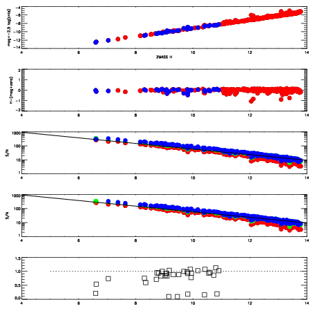
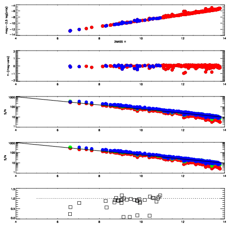
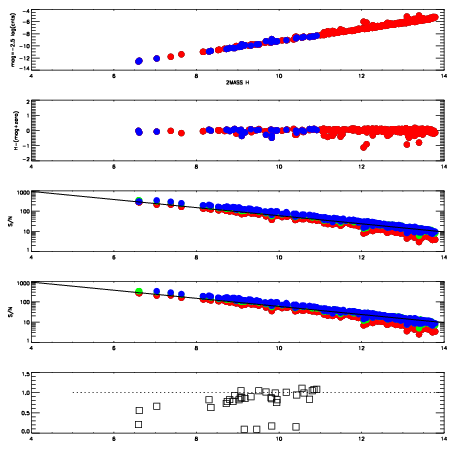
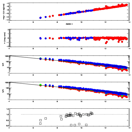
| Frame | Nreads | Zeropoints | Mag plots
| Spatial mag deviation
| Spatial sky 16325A emission deviations (filled: sky, open: star)
| Spatial sky continuum emission
| Spatial sky telluric CO2 absorption deviations (filled: H < 10)
|
| 10440010
| 47
| | Red | Green | Blue
| | z | | 18.99
| | znorm | | 14.81
| | sky | 13.8 | 13.5 | 13.4
| | S/N | 15.4 | 24.1 | 25.0
| | S/N(c) | 14.1 | 22.3 | 23.6
| | SN(E/C) | 0.90
|
|
|
|
|
|
|
| 10440011
| 47
| | Red | Green | Blue
| | z | | 19.09
| | znorm | | 14.91
| | sky | 14.4 | 14.3 | 14.3
| | S/N | 16.5 | 26.2 | 27.7
| | S/N(c) | 14.9 | 24.1 | 26.2
| | SN(E/C) | 0.93
|
|
|
|
|
|
|
| 10440012
| 47
| | Red | Green | Blue
| | z | | 19.13
| | znorm | | 14.95
| | sky | 14.5 | 14.4 | 14.5
| | S/N | 17.0 | 26.7 | 28.3
| | S/N(c) | 15.1 | 24.7 | 26.6
| | SN(E/C) | 0.89
|
|
|
|
|
|
|
| 10440013
| 47
| | Red | Green | Blue
| | z | | 19.15
| | znorm | | 14.97
| | sky | 14.8 | 14.5 | 14.5
| | S/N | 17.0 | 26.9 | 28.6
| | S/N(c) | 15.1 | 25.0 | 26.9
| | SN(E/C) | 0.91
|
|
|
|
|
|
|
| 10440014
| 47
| | Red | Green | Blue
| | z | | 19.15
| | znorm | | 14.97
| | sky | 14.5 | 14.3 | 14.5
| | S/N | 17.2 | 27.0 | 28.6
| | S/N(c) | 15.5 | 25.1 | 27.0
| | SN(E/C) | 0.92
|
|
|
|
|
|
|
| 10440015
| 47
| | Red | Green | Blue
| | z | | 19.19
| | znorm | | 15.01
| | sky | 14.7 | 14.5 | 14.6
| | S/N | 17.4 | 27.5 | 29.1
| | S/N(c) | 15.5 | 25.5 | 27.3
| | SN(E/C) | 0.85
|
|
|
|
|
|
|
| 10440016
| 47
| | Red | Green | Blue
| | z | | 19.16
| | znorm | | 14.98
| | sky | 14.5 | 14.5 | 14.5
| | S/N | 17.2 | 27.0 | 28.9
| | S/N(c) | 15.2 | 25.2 | 27.2
| | SN(E/C) | 0.88
|
|
|
|
|
|
|
| 10440017
| 47
| | Red | Green | Blue
| | z | | 19.12
| | znorm | | 14.94
| | sky | 14.5 | 14.5 | 14.6
| | S/N | 16.7 | 26.6 | 28.5
| | S/N(c) | 14.9 | 24.6 | 26.6
| | SN(E/C) | 0.90
|
|
|
|
|
|
|