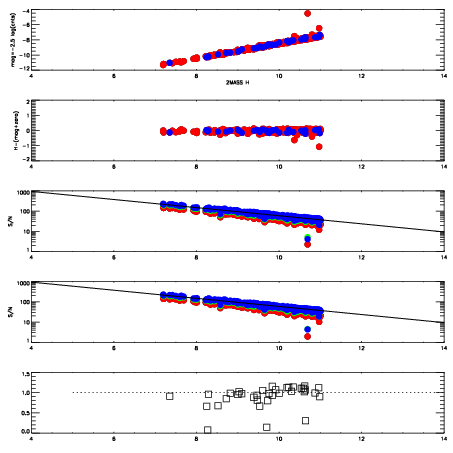
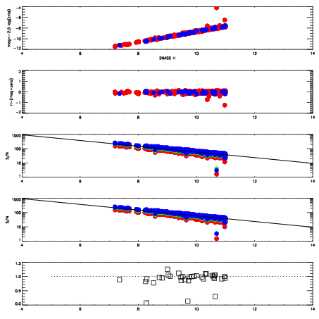
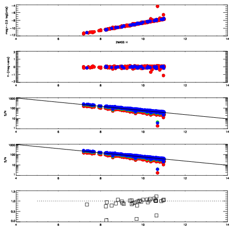
Left plots: red are targets, blue are telluric. Observed mags are calculated from median value of green chip. Zeropoint gives overall throughput: bigger number is more throughput.
First spatial plots: circles are objects, squares are tellurics, crosses are sky fibers. Colors give deviation of observed mag from expected 2MASS mag using the median zeropoint; red is brighter
Second spatial plots: circles are sky fibers. Colors give sky line brightness relative to plate median sky line brightness
FrameNreadsZeropointsMag plots Spatial mag deviation Spatial sky 16325A emission deviations (filled: sky, open: star) Spatial sky continuum emission Spatial sky telluric CO2 absorption deviations (filled: H < 10)
8990040 47
RedGreenBlue
z18.51
znorm14.33
sky 14.6 14.5 14.3
S/N 13.7 20.8 22.1
S/N(c) 12.5 19.7 21.2
SN(E/C) 0.98
8990041 47
RedGreenBlue
z18.63
znorm14.45
sky 14.5 14.5 14.6
S/N 14.4 22.0 23.8
S/N(c) 13.2 20.8 22.7
SN(E/C) 0.98
8990042 47
RedGreenBlue
z18.70
znorm14.52
sky 14.4 14.5 14.5
S/N 14.7 22.6 24.1
S/N(c) 13.6 21.3 23.1
SN(E/C) 0.98
8990043 47
RedGreenBlue
z18.73
znorm14.55
sky 14.5 14.5 14.5
S/N 15.2 23.1 25.0
S/N(c) 14.0 21.9 23.9
SN(E/C) 0.95