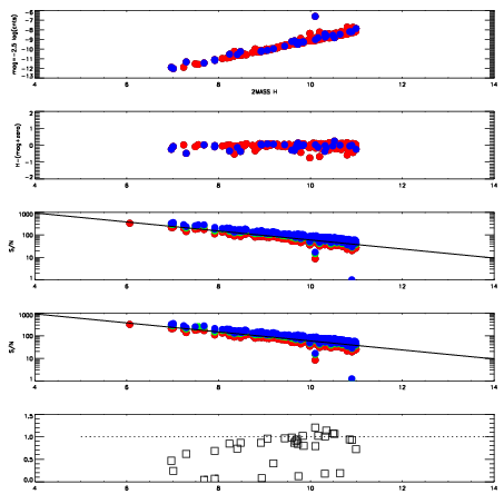
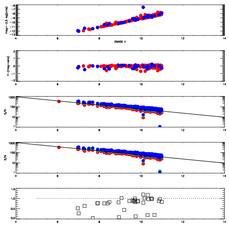
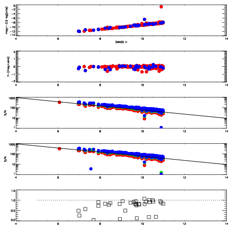
Left plots: red are targets, blue are telluric. Observed mags are calculated from median value of green chip. Zeropoint gives overall throughput: bigger number is more throughput.
First spatial plots: circles are objects, squares are tellurics, crosses are sky fibers. Colors give deviation of observed mag from expected 2MASS mag using the median zeropoint; red is brighter
Second spatial plots: circles are sky fibers. Colors give sky line brightness relative to plate median sky line brightness
FrameNreadsZeropointsMag plots Spatial mag deviation Spatial sky 16325A emission deviations (filled: sky, open: star) Spatial sky continuum emission Spatial sky telluric CO2 absorption deviations (filled: H < 10)
8910011 47
RedGreenBlue
z19.10
znorm14.92
sky 14.3 14.1 14.1
S/N 18.6 27.3 28.6
S/N(c) 17.5 26.2 27.8
SN(E/C) 0.86
8910012 47
RedGreenBlue
z19.12
znorm14.94
sky 14.2 14.3 14.5
S/N 18.8 27.5 29.2
S/N(c) 17.7 26.4 28.2
SN(E/C) 0.83
8910013 47
RedGreenBlue
z19.13
znorm14.95
sky 14.2 14.3 14.6
S/N 18.6 27.4 29.4
S/N(c) 17.4 26.4 28.3
SN(E/C) 0.82
8910014 47
RedGreenBlue
z19.13
znorm14.95
sky 14.3 14.3 14.5
S/N 18.6 27.5 29.6
S/N(c) 17.5 26.4 28.4
SN(E/C) 0.83