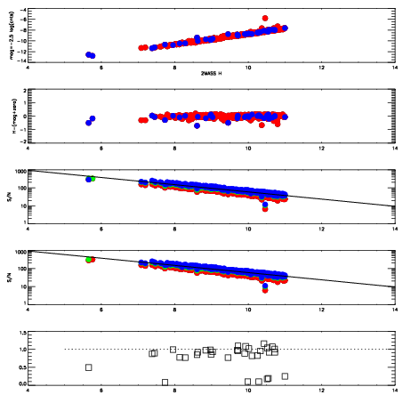
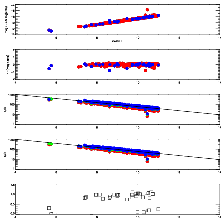
| Frame | Nreads | Zeropoints | Mag plots
| Spatial mag deviation
| Spatial sky 16325A emission deviations (filled: sky, open: star)
| Spatial sky continuum emission
| Spatial sky telluric CO2 absorption deviations (filled: H < 10)
|
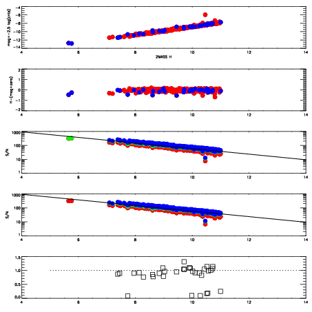
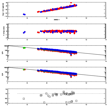
| 9020012
| 47
| | Red | Green | Blue
| | z | | 18.65
| | znorm | | 14.47
| | sky | 14.3 | 14.2 | 14.2
| | S/N | 15.2 | 21.8 | 23.5
| | S/N(c) | 14.2 | 20.9 | 22.5
| | SN(E/C) | 0.89
|
|
|
|
|
|
|
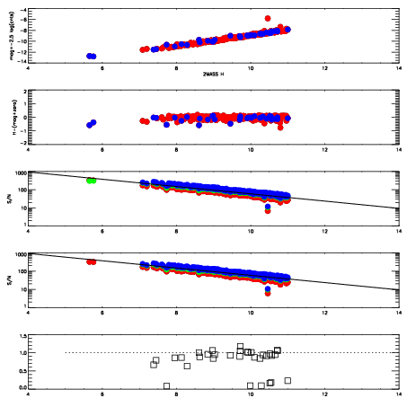
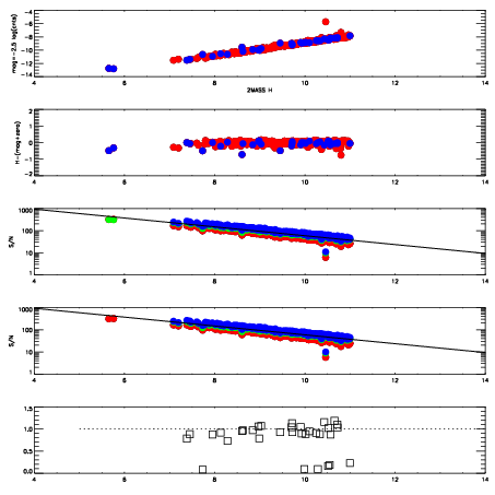
| 9020013
| 47
| | Red | Green | Blue
| | z | | 18.71
| | znorm | | 14.53
| | sky | 14.5 | 14.4 | 14.6
| | S/N | 15.5 | 22.0 | 24.1
| | S/N(c) | 14.4 | 21.1 | 23.1
| | SN(E/C) | 0.91
|
|
|
|
|
|
|
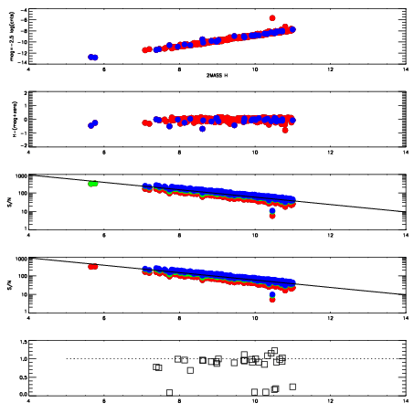
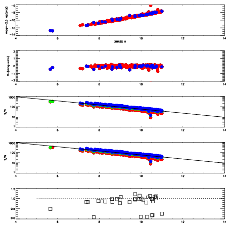
| 9020014
| 47
| | Red | Green | Blue
| | z | | 18.73
| | znorm | | 14.55
| | sky | 14.3 | 14.4 | 14.6
| | S/N | 15.6 | 22.3 | 23.9
| | S/N(c) | 14.6 | 21.6 | 23.1
| | SN(E/C) | 0.92
|
|
|
|
|
|
|
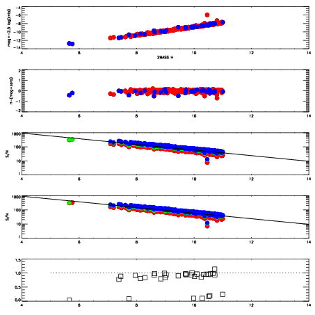
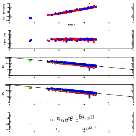
| 9020015
| 47
| | Red | Green | Blue
| | z | | 18.77
| | znorm | | 14.59
| | sky | 14.4 | 14.5 | 14.5
| | S/N | 15.8 | 22.7 | 24.7
| | S/N(c) | 14.9 | 22.0 | 23.8
| | SN(E/C) | 0.92
|
|
|
|
|
|
|
| 9020016
| 47
| | Red | Green | Blue
| | z | | 18.77
| | znorm | | 14.59
| | sky | 14.4 | 14.4 | 14.6
| | S/N | 15.8 | 22.5 | 24.7
| | S/N(c) | 14.8 | 21.9 | 23.9
| | SN(E/C) | 0.94
|
|
|
|
|
|
|
| 9020017
| 47
| | Red | Green | Blue
| | z | | 18.81
| | znorm | | 14.63
| | sky | 14.4 | 14.6 | 14.5
| | S/N | 16.2 | 23.3 | 25.5
| | S/N(c) | 15.3 | 22.5 | 24.7
| | SN(E/C) | 0.92
|
|
|
|
|
|
|
| 9020018
| 47
| | Red | Green | Blue
| | z | | 18.85
| | znorm | | 14.67
| | sky | 14.4 | 14.4 | 14.6
| | S/N | 16.5 | 23.6 | 25.9
| | S/N(c) | 15.5 | 22.8 | 25.0
| | SN(E/C) | 0.92
|
|
|
|
|
|
|
| 9020019
| 47
| | Red | Green | Blue
| | z | | 18.93
| | znorm | | 14.75
| | sky | 14.4 | 14.5 | 14.6
| | S/N | 17.3 | 24.8 | 27.3
| | S/N(c) | 16.2 | 23.9 | 26.5
| | SN(E/C) | 0.91
|
|
|
|
|
|
|
| 9020020
| 47
| | Red | Green | Blue
| | z | | 18.83
| | znorm | | 14.65
| | sky | 14.3 | 14.4 | 14.5
| | S/N | 16.0 | 23.1 | 25.8
| | S/N(c) | 14.9 | 22.1 | 24.8
| | SN(E/C) | 0.92
|
|
|
|
|
|
|
| 9020021
| 47
| | Red | Green | Blue
| | z | | 18.88
| | znorm | | 14.70
| | sky | 14.4 | 14.4 | 14.4
| | S/N | 16.5 | 24.0 | 26.8
| | S/N(c) | 15.6 | 22.9 | 25.9
| | SN(E/C) | 0.92
|
|
|
|
|
|
|