PLATE: 7060 MJD: 56625 FIELD: 060-45

FrameCartsec zseeingNreadsDitherPixshiftZerosky continuumS/NS/N(c)
10630011 3 1.22 1.30 47 0.00 0.00 19.09 [12.97,12.74,12.45] [ 15.0, 23.5, 23.7] [ 13.7, 22.0, 22.8]
10630012 3 1.22 1.18 47 0.53 0.00 19.15 [13.87,13.61,13.44] [ 16.7, 27.0, 27.8] [ 15.0, 24.8, 26.2]
10630013 3 1.22 1.21 47 0.54 0.00 19.14 [14.15,13.97,13.84] [ 16.6, 27.4, 28.4] [ 14.7, 25.2, 26.9]
10630014 3 1.22 1.47 47 0.08 0.00 19.09 [14.22,14.05,13.86] [ 16.4, 26.6, 28.0] [ 14.3, 24.8, 26.5]
10630015 3 1.22 1.36 47 0.09 0.00 19.09 [14.24,14.02,13.95] [ 16.4, 26.4, 27.8] [ 14.8, 24.6, 26.4]
10630016 3 1.22 1.36 47 0.56 -0.00 19.04 [14.20,14.05,13.99] [ 15.8, 26.0, 27.5] [ 14.1, 24.0, 25.7]
10630017 3 1.23 1.68 47 0.55 0.00 19.01 [14.27,14.04,13.98] [ 15.5, 25.6, 27.2] [ 13.5, 23.4, 25.4]
10630018 3 1.24 1.53 47 0.09 0.00 19.06 [14.27,14.05,13.95] [ 16.0, 25.9, 27.5] [ 14.1, 23.6, 25.7]

IPAIRNAMESHIFTNEWSHIFTS/N NAMESHIFTNEWSHIFTS/N
0 10630016 0.556 0.000 216.29 10630018 0.091 0.465 217.81
1 10630012 0.532 0.024 223.55 10630015 0.085 0.471 223.68
2 10630017 0.546 0.010 213.17 10630011 0.000 0.556 215.02
3 10630013 0.544 0.012 185.59 10630014 0.075 0.481 0.00

Visit (multiple exposure and dither combined) spectra

FrameZeropointsMag plots Spatial mag deviation Spatial sky 16325A emission deviations (filled: sky, open: star) Spatial sky continuum emission Spatial sky telluric CO2 absorption deviations (filled: H < 10)
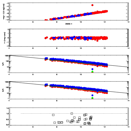
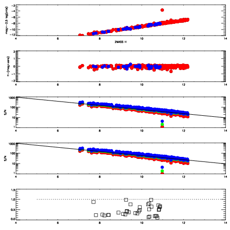
10630011
RedGreenBlue
z19.09
znorm14.91
sky 13.0 12.7 12.4
S/N 15.0 23.5 23.7
S/N(c) 13.7 22.0 22.8
SN(E/C) 0.43
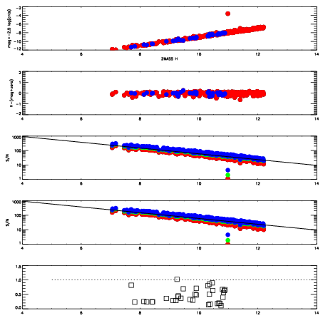
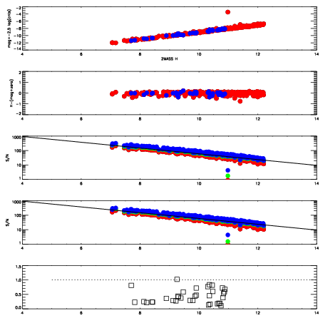
10630012
RedGreenBlue
z19.15
znorm14.97
sky 13.9 13.6 13.4
S/N 16.7 27.0 27.8
S/N(c) 15.0 24.8 26.2
SN(E/C) 0.41
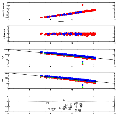
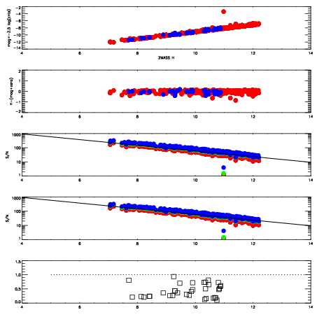
10630013
RedGreenBlue
z19.14
znorm14.96
sky 14.2 14.0 13.8
S/N 16.6 27.4 28.4
S/N(c) 14.7 25.2 26.9
SN(E/C) 0.38
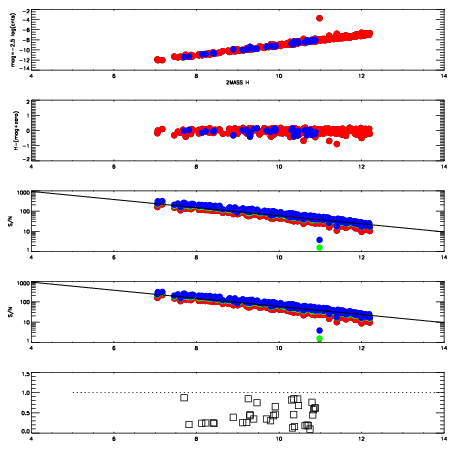
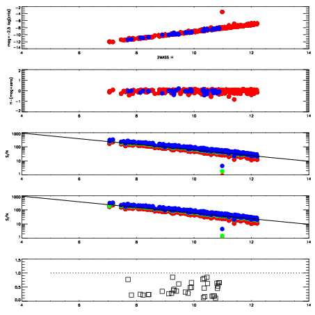
10630014
RedGreenBlue
z19.09
znorm14.91
sky 14.2 14.0 13.9
S/N 16.4 26.6 28.0
S/N(c) 14.3 24.8 26.5
SN(E/C) 0.38
10630015
RedGreenBlue
z19.09
znorm14.91
sky 14.2 14.0 14.0
S/N 16.4 26.4 27.8
S/N(c) 14.8 24.6 26.4
SN(E/C) 0.39
10630016
RedGreenBlue
z19.04
znorm14.86
sky 14.2 14.1 14.0
S/N 15.8 26.0 27.5
S/N(c) 14.1 24.0 25.7
SN(E/C) 0.42
10630017
RedGreenBlue
z19.01
znorm14.83
sky 14.3 14.0 14.0
S/N 15.5 25.6 27.2
S/N(c) 13.5 23.4 25.4
SN(E/C) 0.40
10630018
RedGreenBlue
z19.06
znorm14.88
sky 14.3 14.1 14.0
S/N 16.0 25.9 27.5
S/N(c) 14.1 23.6 25.7
SN(E/C) 0.41