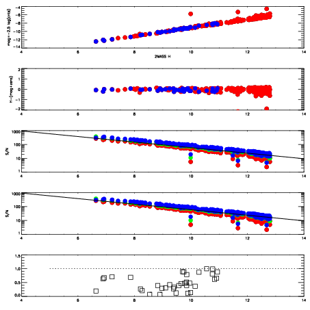
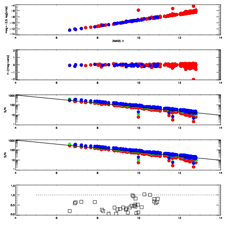
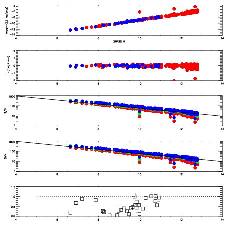
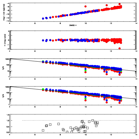
| Frame | Nreads | Zeropoints | Mag plots
| Spatial mag deviation
| Spatial sky 16325A emission deviations (filled: sky, open: star)
| Spatial sky continuum emission
| Spatial sky telluric CO2 absorption deviations (filled: H < 10)
|
| 9980076
| 47
| | Red | Green | Blue
| | z | | 18.97
| | znorm | | 14.79
| | sky | 15.1 | 14.8 | 15.2
| | S/N | 15.1 | 25.1 | 28.3
| | S/N(c) | 13.3 | 23.3 | 27.2
| | SN(E/C) | 0.48
|
|
|
|
|
|
|
| 9980077
| 47
| | Red | Green | Blue
| | z | | 19.11
| | znorm | | 14.93
| | sky | 15.2 | 14.8 | 15.1
| | S/N | 16.5 | 27.3 | 30.3
| | S/N(c) | 14.7 | 25.3 | 28.5
| | SN(E/C) | 0.48
|
|
|
|
|
|
|
| 9980078
| 47
| | Red | Green | Blue
| | z | | 19.14
| | znorm | | 14.96
| | sky | 15.0 | 14.8 | 15.0
| | S/N | 17.0 | 28.3 | 30.7
| | S/N(c) | 15.2 | 26.4 | 28.9
| | SN(E/C) | 0.46
|
|
|
|
|
|
|
| 9980079
| 47
| | Red | Green | Blue
| | z | | 19.13
| | znorm | | 14.95
| | sky | 14.8 | 14.8 | 15.1
| | S/N | 16.9 | 28.1 | 30.6
| | S/N(c) | 15.2 | 26.0 | 28.6
| | SN(E/C) | 0.46
|
|
|
|
|
|
|
| 9980080
| 47
| | Red | Green | Blue
| | z | | 19.07
| | znorm | | 14.89
| | sky | 15.0 | 14.9 | 14.9
| | S/N | 16.0 | 26.9 | 29.6
| | S/N(c) | 14.2 | 25.0 | 27.9
| | SN(E/C) | 0.46
|
|
|
|
|
|
|
| 9980081
| 47
| | Red | Green | Blue
| | z | | 19.17
| | znorm | | 14.99
| | sky | 15.1 | 15.0 | 15.0
| | S/N | 17.3 | 28.5 | 31.0
| | S/N(c) | 15.6 | 26.5 | 29.3
| | SN(E/C) | 0.46
|
|
|
|
|
|
|