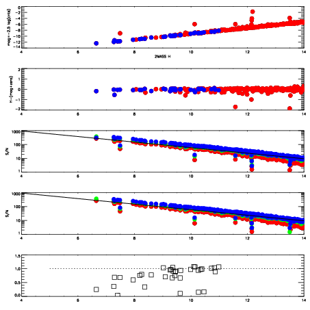
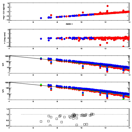
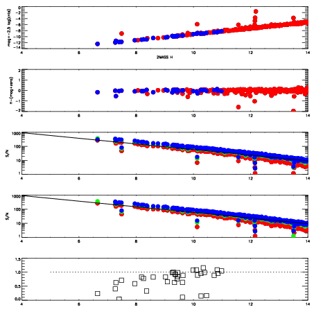
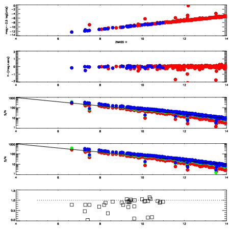
| Frame | Nreads | Zeropoints | Mag plots
| Spatial mag deviation
| Spatial sky 16325A emission deviations (filled: sky, open: star)
| Spatial sky continuum emission
| Spatial sky telluric CO2 absorption deviations (filled: H < 10)
|
| 9980022
| 47
| | Red | Green | Blue
| | z | | 19.18
| | znorm | | 15.00
| | sky | 14.5 | 14.4 | 14.3
| | S/N | 13.2 | 23.1 | 24.9
| | S/N(c) | 11.9 | 21.5 | 23.8
| | SN(E/C) | 0.87
|
|
|
|
|
|
|
| 9980023
| 47
| | Red | Green | Blue
| | z | | 19.23
| | znorm | | 15.05
| | sky | 14.5 | 14.5 | 14.7
| | S/N | 13.6 | 23.3 | 25.2
| | S/N(c) | 12.0 | 21.6 | 23.9
| | SN(E/C) | 0.83
|
|
|
|
|
|
|
| 9980024
| 47
| | Red | Green | Blue
| | z | | 19.22
| | znorm | | 15.04
| | sky | 14.8 | 14.6 | 14.7
| | S/N | 13.6 | 23.3 | 25.3
| | S/N(c) | 12.1 | 21.5 | 24.0
| | SN(E/C) | 0.88
|
|
|
|
|
|
|
| 9980025
| 47
| | Red | Green | Blue
| | z | | 19.18
| | znorm | | 15.00
| | sky | 14.5 | 14.5 | 14.6
| | S/N | 13.2 | 22.5 | 24.3
| | S/N(c) | 11.6 | 20.8 | 23.2
| | SN(E/C) | 0.86
|
|
|
|
|
|
|
| 9980026
| 47
| | Red | Green | Blue
| | z | | 19.19
| | znorm | | 15.01
| | sky | 14.7 | 14.6 | 14.7
| | S/N | 13.3 | 22.8 | 24.6
| | S/N(c) | 11.6 | 21.2 | 23.2
| | SN(E/C) | 0.87
|
|
|
|
|
|
|
| 9980027
| 47
| | Red | Green | Blue
| | z | | 19.15
| | znorm | | 14.97
| | sky | 14.6 | 14.5 | 14.8
| | S/N | 13.3 | 22.7 | 24.4
| | S/N(c) | 11.9 | 21.0 | 23.1
| | SN(E/C) | 0.83
|
|
|
|
|
|
|
| 9980028
| 47
| | Red | Green | Blue
| | z | | 19.13
| | znorm | | 14.94
| | sky | 14.6 | 14.7 | 14.8
| | S/N | 13.2 | 22.5 | 24.2
| | S/N(c) | 11.6 | 20.8 | 22.8
| | SN(E/C) | 0.90
|
|
|
|
|
|
|
| 9980029
| 47
| | Red | Green | Blue
| | z | | 19.13
| | znorm | | 14.95
| | sky | 14.6 | 14.8 | 14.8
| | S/N | 12.9 | 22.5 | 24.4
| | S/N(c) | 11.4 | 20.8 | 23.0
| | SN(E/C) | 0.91
|
|
|
|
|
|
|