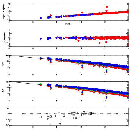
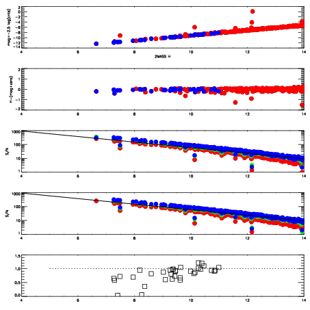
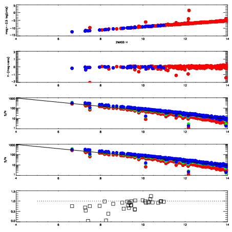
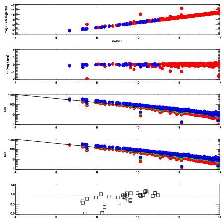
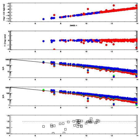
| Frame | Nreads | Zeropoints | Mag plots
| Spatial mag deviation
| Spatial sky 16325A emission deviations (filled: sky, open: star)
| Spatial sky continuum emission
| Spatial sky telluric CO2 absorption deviations (filled: H < 10)
|
| 10230027
| 47
| | Red | Green | Blue
| | z | | 19.19
| | znorm | | 15.01
| | sky | 15.1 | 14.4 | 14.3
| | S/N | 16.1 | 25.3 | 27.3
| | S/N(c) | 14.0 | 23.6 | 25.4
| | SN(E/C) | 0.91
|
|
|
|
|
|
|
| 10230028
| 47
| | Red | Green | Blue
| | z | | 19.16
| | znorm | | 14.98
| | sky | 14.7 | 14.4 | 14.6
| | S/N | 16.0 | 25.0 | 27.6
| | S/N(c) | 13.8 | 23.3 | 25.6
| | SN(E/C) | 0.84
|
|
|
|
|
|
|
| 10230029
| 47
| | Red | Green | Blue
| | z | | 19.18
| | znorm | | 15.00
| | sky | 14.6 | 14.4 | 14.5
| | S/N | 15.9 | 25.2 | 27.4
| | S/N(c) | 13.7 | 23.7 | 25.6
| | SN(E/C) | 0.92
|
|
|
|
|
|
|
| 10230030
| 47
| | Red | Green | Blue
| | z | | 19.16
| | znorm | | 14.98
| | sky | 14.9 | 14.4 | 14.4
| | S/N | 16.0 | 24.9 | 27.1
| | S/N(c) | 13.6 | 23.1 | 25.2
| | SN(E/C) | 0.92
|
|
|
|
|
|
|
| 10230031
| 47
| | Red | Green | Blue
| | z | | 19.14
| | znorm | | 14.96
| | sky | 14.6 | 14.5 | 14.4
| | S/N | 15.7 | 24.5 | 26.6
| | S/N(c) | 13.5 | 22.8 | 24.8
| | SN(E/C) | 0.89
|
|
|
|
|
|
|
| 10230032
| 47
| | Red | Green | Blue
| | z | | 19.16
| | znorm | | 14.98
| | sky | 14.8 | 14.3 | 14.5
| | S/N | 15.6 | 24.7 | 26.7
| | S/N(c) | 13.4 | 22.9 | 24.8
| | SN(E/C) | 0.91
|
|
|
|
|
|
|
| 10230033
| 47
| | Red | Green | Blue
| | z | | 19.17
| | znorm | | 14.99
| | sky | 14.4 | 14.4 | 14.3
| | S/N | 15.9 | 24.7 | 26.6
| | S/N(c) | 13.8 | 23.0 | 24.8
| | SN(E/C) | 0.93
|
|
|
|
|
|
|
| 10230034
| 47
| | Red | Green | Blue
| | z | | 19.19
| | znorm | | 15.01
| | sky | 14.5 | 14.3 | 14.3
| | S/N | 16.0 | 25.1 | 27.0
| | S/N(c) | 13.9 | 23.2 | 25.3
| | SN(E/C) | 0.91
|
|
|
|
|
|
|