PLATE: 7191 MJD: 56591 FIELD: 165+00

FrameCartsec zseeingNreadsDitherPixshiftZerosky continuumS/NS/N(c)
10290011 1 1.03 1.72 47 0.00 -0.00 19.07 [14.85,14.61,14.49] [ 16.0, 26.4, 26.1] [ 14.4, 24.5, 24.8]
10290012 1 1.03 1.32 47 0.58 0.00 19.13 [15.09,14.91,14.96] [ 16.6, 26.5, 27.1] [ 14.9, 24.9, 25.9]
10290013 1 1.02 1.12 47 0.58 0.00 19.03 [15.15,15.02,15.01] [ 15.7, 25.3, 26.1] [ 14.1, 23.8, 24.6]
10290014 1 1.02 1.38 47 0.13 -0.00 19.03 [14.84,14.94,14.97] [ 15.4, 25.2, 26.1] [ 13.7, 23.6, 24.4]
10290015 1 1.02 1.22 47 0.13 -0.00 19.13 [14.73,15.04,15.05] [ 16.2, 26.6, 27.5] [ 14.4, 24.9, 26.0]
10290016 1 1.01 1.06 47 0.59 0.00 19.09 [15.04,14.87,15.03] [ 16.1, 26.1, 27.2] [ 14.3, 24.5, 25.7]
10290017 1 1.01 1.12 47 0.58 0.00 19.19 [14.81,14.94,14.90] [ 16.8, 27.4, 28.4] [ 15.3, 25.6, 27.0]
10290018 1 1.01 0.99 47 0.12 0.00 19.18 [14.85,15.00,14.96] [ 16.7, 27.3, 28.3] [ 15.1, 25.5, 26.9]
10290019 1 1.01 1.00 47 0.12 -0.00 19.21 [15.16,14.97,14.87] [ 17.2, 27.7, 28.7] [ 15.4, 25.9, 27.2]
10290020 1 1.01 0.96 47 0.58 0.00 19.20 [15.08,15.07,15.06] [ 16.7, 27.0, 28.6] [ 15.0, 25.3, 27.0]
10290021 1 1.01 0.95 47 0.58 -0.00 19.22 [14.78,14.98,15.04] [ 16.9, 27.3, 29.0] [ 15.3, 25.4, 27.4]
10290022 1 1.02 1.01 47 0.12 -0.00 19.19 [14.94,14.96,14.97] [ 16.3, 26.8, 28.5] [ 14.6, 24.8, 27.1]

IPAIRNAMESHIFTNEWSHIFTS/N NAMESHIFTNEWSHIFTS/N
0 10290016 0.589 0.000 239.87 10290011 0.000 0.589 238.62
1 10290021 0.577 0.012 255.29 10290019 0.122 0.467 255.26
2 10290020 0.578 0.011 254.04 10290022 0.120 0.469 253.01
3 10290017 0.585 0.004 250.14 10290018 0.120 0.469 250.54
4 10290012 0.585 0.004 244.28 10290015 0.126 0.463 244.50
5 10290013 0.581 0.008 233.83 10290014 0.128 0.461 233.75

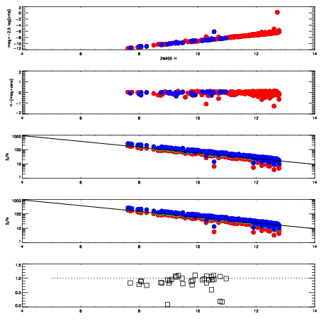
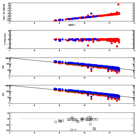
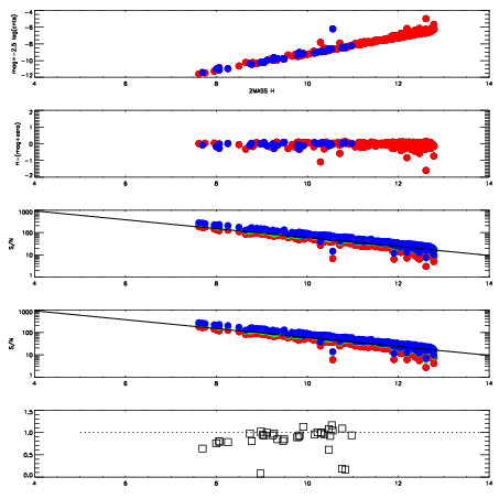
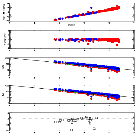
Visit (multiple exposure and dither combined) spectra

FrameZeropointsMag plots Spatial mag deviation Spatial sky 16325A emission deviations (filled: sky, open: star) Spatial sky continuum emission Spatial sky telluric CO2 absorption deviations (filled: H < 10)
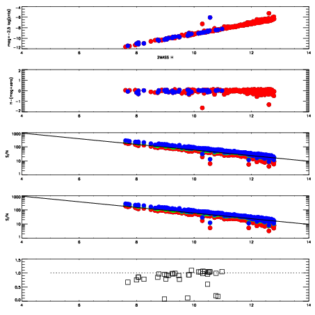
10290011
RedGreenBlue
z19.07
znorm14.89
sky 14.9 14.6 14.5
S/N 16.0 26.4 26.1
S/N(c) 14.4 24.5 24.8
SN(E/C) 0.90
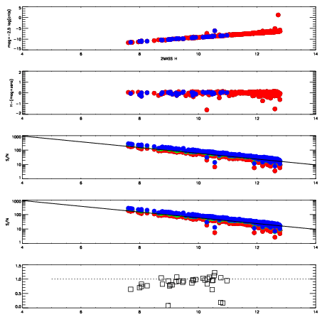
10290012
RedGreenBlue
z19.13
znorm14.95
sky 15.1 14.9 15.0
S/N 16.6 26.5 27.1
S/N(c) 14.9 24.9 25.9
SN(E/C) 0.92
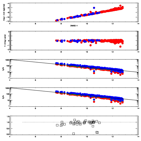
10290013
RedGreenBlue
z19.03
znorm14.85
sky 15.1 15.0 15.0
S/N 15.7 25.3 26.1
S/N(c) 14.1 23.8 24.6
SN(E/C) 0.95
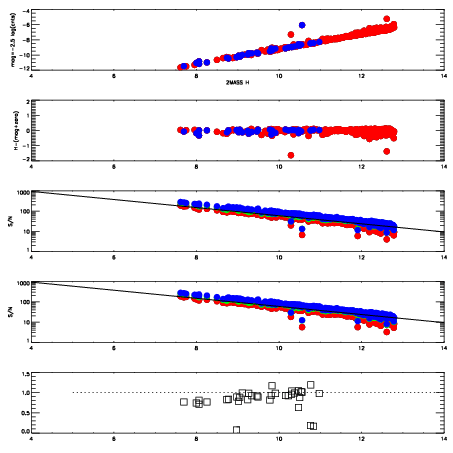
10290014
RedGreenBlue
z19.03
znorm14.85
sky 14.8 14.9 15.0
S/N 15.4 25.2 26.1
S/N(c) 13.7 23.6 24.4
SN(E/C) 0.95
10290015
RedGreenBlue
z19.13
znorm14.95
sky 14.7 15.0 15.0
S/N 16.2 26.6 27.5
S/N(c) 14.4 24.9 26.0
SN(E/C) 0.96
10290016
RedGreenBlue
z19.09
znorm14.91
sky 15.0 14.9 15.0
S/N 16.1 26.1 27.2
S/N(c) 14.3 24.5 25.7
SN(E/C) 0.95
10290017
RedGreenBlue
z19.19
znorm15.01
sky 14.8 14.9 14.9
S/N 16.8 27.4 28.4
S/N(c) 15.3 25.6 27.0
SN(E/C) 0.93
10290018
RedGreenBlue
z19.18
znorm15.00
sky 14.8 15.0 15.0
S/N 16.7 27.3 28.3
S/N(c) 15.1 25.5 26.9
SN(E/C) 0.92
10290019
RedGreenBlue
z19.21
znorm15.03
sky 15.2 15.0 14.9
S/N 17.2 27.7 28.7
S/N(c) 15.4 25.9 27.2
SN(E/C) 0.93
10290020
RedGreenBlue
z19.20
znorm15.02
sky 15.1 15.1 15.1
S/N 16.7 27.0 28.6
S/N(c) 15.0 25.3 27.0
SN(E/C) 0.89
10290021
RedGreenBlue
z19.22
znorm15.04
sky 14.8 15.0 15.0
S/N 16.9 27.3 29.0
S/N(c) 15.3 25.4 27.4
SN(E/C) 0.89
10290022
RedGreenBlue
z19.19
znorm15.01
sky 14.9 15.0 15.0
S/N 16.3 26.8 28.5
S/N(c) 14.6 24.8 27.1
SN(E/C) 0.94