PLATE: 7192 MJD: 56616 FIELD: 165+08

FrameCartsec zseeingNreadsDitherPixshiftZerosky continuumS/NS/N(c)
10540070 1 1.06 1.05 47 0.00 0.00 19.07 [14.57,14.30,14.29] [ 15.3, 25.0, 27.6] [ 13.5, 23.9, 25.9]
10540071 1 1.06 1.08 47 0.44 0.00 19.13 [14.99,14.55,14.94] [ 16.3, 26.6, 29.2] [ 14.7, 25.2, 27.7]
10540072 1 1.05 1.04 47 0.44 0.00 19.13 [14.59,14.55,14.85] [ 15.9, 25.8, 28.1] [ 14.0, 24.5, 26.5]
10540073 1 1.04 1.12 47 -0.01 0.00 19.06 [14.59,14.27,14.59] [ 15.1, 25.1, 27.4] [ 13.6, 23.7, 25.9]
10540074 1 1.04 1.23 47 -0.01 -0.00 19.10 [14.66,14.59,14.86] [ 15.6, 25.8, 28.0] [ 13.9, 24.4, 26.6]
10540075 1 1.04 1.16 47 0.45 0.00 19.05 [14.40,14.41,14.55] [ 14.5, 24.2, 26.2] [ 13.2, 23.1, 24.6]
10540076 1 1.03 1.20 47 0.45 0.00 18.68 [13.35,13.32,13.40] [ 11.0, 18.2, 20.2] [ 10.0, 17.2, 18.7]
10540077 1 1.03 1.24 47 -0.00 0.00 18.13 [12.85,12.78,12.84] [ 6.6, 11.2, 13.5] [ 5.8, 10.4, 12.7]

IPAIRNAMESHIFTNEWSHIFTS/N NAMESHIFTNEWSHIFTS/N
0 10540075 0.447 0.000 270.51 10540070 0.000 0.447 265.42
1 10540072 0.445 0.002 279.32 10540074 -0.009 0.457 276.11
2 10540071 0.443 0.004 271.93 10540073 -0.007 0.454 267.98
3 10540076 0.445 0.002 227.02 10540077 -0.002 0.450 180.50

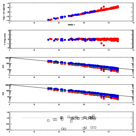
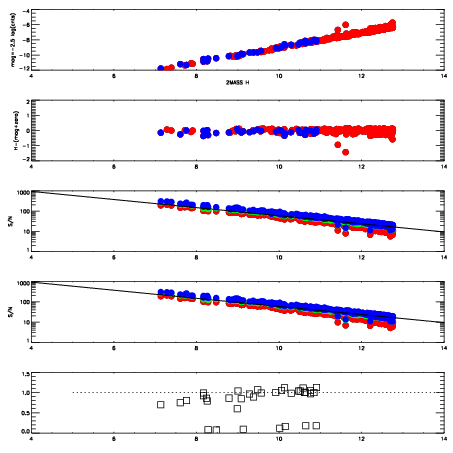
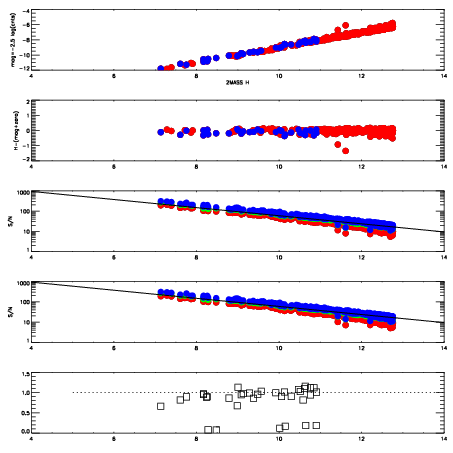
Visit (multiple exposure and dither combined) spectra

FrameZeropointsMag plots Spatial mag deviation Spatial sky 16325A emission deviations (filled: sky, open: star) Spatial sky continuum emission Spatial sky telluric CO2 absorption deviations (filled: H < 10)
10540070
RedGreenBlue
z19.07
znorm14.89
sky 14.6 14.3 14.3
S/N 15.3 25.0 27.6
S/N(c) 13.5 23.9 25.9
SN(E/C) 0.91
10540071
RedGreenBlue
z19.13
znorm14.95
sky 15.0 14.6 14.9
S/N 16.3 26.6 29.2
S/N(c) 14.7 25.2 27.7
SN(E/C) 0.92
10540072
RedGreenBlue
z19.13
znorm14.95
sky 14.6 14.6 14.8
S/N 15.9 25.8 28.1
S/N(c) 14.0 24.5 26.5
SN(E/C) 0.94
10540073
RedGreenBlue
z19.06
znorm14.88
sky 14.6 14.3 14.6
S/N 15.1 25.1 27.4
S/N(c) 13.6 23.7 25.9
SN(E/C) 0.96
10540074
RedGreenBlue
z19.10
znorm14.92
sky 14.7 14.6 14.9
S/N 15.6 25.8 28.0
S/N(c) 13.9 24.4 26.6
SN(E/C) 0.93
10540075
RedGreenBlue
z19.05
znorm14.87
sky 14.4 14.4 14.6
S/N 14.5 24.2 26.2
S/N(c) 13.2 23.1 24.6
SN(E/C) 0.94
10540076
RedGreenBlue
z18.68
znorm14.50
sky 13.4 13.3 13.4
S/N 11.0 18.2 20.2
S/N(c) 10.0 17.2 18.7
SN(E/C) 0.96
10540077
RedGreenBlue
z18.13
znorm13.95
sky 12.9 12.8 12.8
S/N 6.6 11.2 13.5
S/N(c) 5.8 10.4 12.7
SN(E/C) 1.00