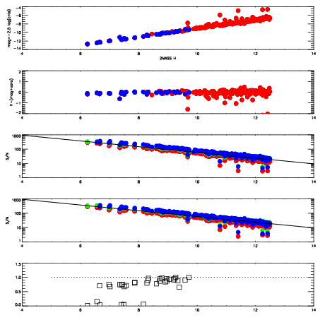
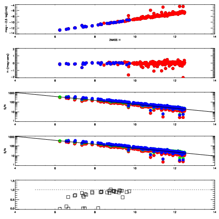
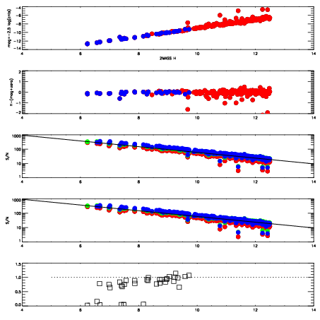
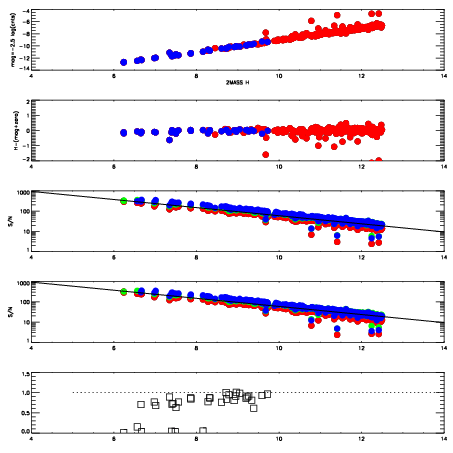
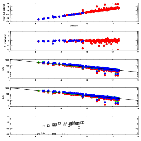
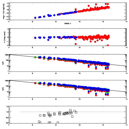
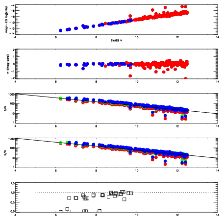
| Frame | Nreads | Zeropoints | Mag plots
| Spatial mag deviation
| Spatial sky 16325A emission deviations (filled: sky, open: star)
| Spatial sky continuum emission
| Spatial sky telluric CO2 absorption deviations (filled: H < 10)
|
| 10440049
| 47
| | Red | Green | Blue
| | z | | 19.12
| | znorm | | 14.94
| | sky | 14.3 | 14.0 | 14.0
| | S/N | 17.7 | 26.1 | 25.3
| | S/N(c) | 16.4 | 24.9 | 23.3
| | SN(E/C) | 0.79
|
|
|
|
|
|
|
| 10440050
| 47
| | Red | Green | Blue
| | z | | 19.10
| | znorm | | 14.92
| | sky | 14.3 | 14.3 | 14.3
| | S/N | 17.3 | 25.6 | 25.2
| | S/N(c) | 16.0 | 24.4 | 23.0
| | SN(E/C) | 0.81
|
|
|
|
|
|
|
| 10440051
| 47
| | Red | Green | Blue
| | z | | 19.08
| | znorm | | 14.90
| | sky | 14.2 | 14.2 | 14.3
| | S/N | 16.9 | 25.2 | 24.9
| | S/N(c) | 15.6 | 23.8 | 22.8
| | SN(E/C) | 0.81
|
|
|
|
|
|
|
| 10440052
| 47
| | Red | Green | Blue
| | z | | 19.08
| | znorm | | 14.90
| | sky | 14.2 | 14.3 | 14.3
| | S/N | 16.9 | 25.1 | 24.8
| | S/N(c) | 15.5 | 23.8 | 22.6
| | SN(E/C) | 0.79
|
|
|
|
|
|
|
| 10440053
| 47
| | Red | Green | Blue
| | z | | 19.08
| | znorm | | 14.90
| | sky | 14.2 | 14.2 | 14.2
| | S/N | 16.8 | 25.1 | 24.5
| | S/N(c) | 15.4 | 23.7 | 22.8
| | SN(E/C) | 0.85
|
|
|
|
|
|
|
| 10440054
| 47
| | Red | Green | Blue
| | z | | 19.02
| | znorm | | 14.84
| | sky | 14.5 | 14.2 | 14.3
| | S/N | 16.3 | 24.3 | 24.0
| | S/N(c) | 14.9 | 23.0 | 22.1
| | SN(E/C) | 0.84
|
|
|
|
|
|
|
| 10440055
| 47
| | Red | Green | Blue
| | z | | 19.05
| | znorm | | 14.87
| | sky | 14.5 | 14.2 | 14.3
| | S/N | 16.7 | 24.7 | 24.3
| | S/N(c) | 15.2 | 23.3 | 22.4
| | SN(E/C) | 0.84
|
|
|
|
|
|
|
| 10440056
| 47
| | Red | Green | Blue
| | z | | 19.06
| | znorm | | 14.88
| | sky | 14.2 | 14.2 | 14.3
| | S/N | 16.8 | 25.1 | 24.5
| | S/N(c) | 15.4 | 23.6 | 22.7
| | SN(E/C) | 0.86
|
|
|
|
|
|
|