PLATE:5280 MJD: 55822 FIELD: M15

FrameCartsec zseeingNreadsDitherPixshiftZerosky continuumS/NS/N(cframe)
2600037 8 1.30 1.37 47 0.00 0.00 18.28 [14.90,14.74,14.71] [ 8.7, 15.9, 16.2] [ 7.6, 14.4, 14.7]
2600038 8 1.33 1.32 47 0.42 -0.00 18.13 [14.60,14.81,14.79] [ 7.8, 15.0, 15.5] [ 6.7, 13.7, 14.0]
2600039 8 1.37 1.40 47 0.42 -0.00 18.01 [14.71,14.70,14.88] [ 7.3, 14.4, 14.6] [ 6.4, 13.2, 13.0]
2600040 8 1.41 1.43 47 0.01 0.00 17.95 [14.50,14.91,14.74] [ 7.0, 13.4, 13.8] [ 6.1, 12.1, 12.2]
2600041 8 1.45 1.40 47 0.00 -0.00 17.95 [14.71,14.74,14.73] [ 5.9, 11.9, 12.1] [ 5.0, 10.8, 10.8]
2600042 8 1.50 1.38 47 0.42 0.00 17.85 [14.57,14.69,14.78] [ 4.6, 9.8, 9.9] [ 4.0, 8.7, 9.1]
2600043 8 1.55 1.38 47 0.42 0.00 17.29 [14.84,14.68,14.62] [ 3.0, 6.9, 7.7] [ 2.5, 6.2, 7.0]
2600044 8 1.61 1.45 47 0.01 0.00 17.67 [14.54,14.55,14.70] [ 3.4, 7.7, 8.5] [ 3.2, 6.7, 7.4]

IPAIRNAMESHIFTNEWSHIFTS/N NAMESHIFTNEWSHIFTS/N
0 02600039 0.425 0.000 138.15 02600041 0.004 0.421 137.54
1 02600038 0.423 0.002 146.58 02600037 0.000 0.425 143.86
2 02600042 0.424 0.001 136.09 02600044 0.005 0.420 131.21
3 02600043 0.425 0.000 120.79 02600040 0.006 0.419 128.09

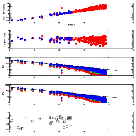
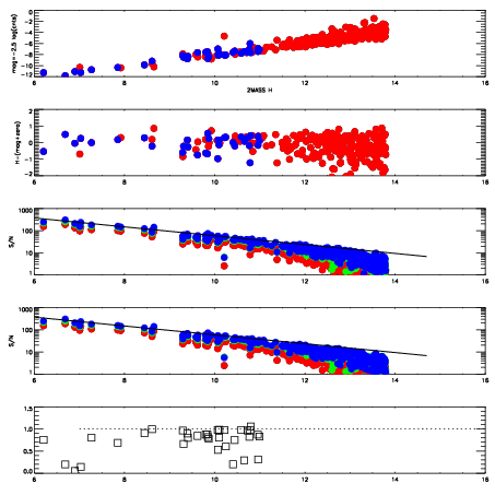
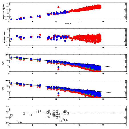
Visit (multiple exposure and dither combined) spectra

FrameZeropointsMag plots Spatial mag deviation Spatial sky telluric CH4 Spatial sky telluric CO2 Spatial sky telluric H2O Spatial sky 16325A emission deviations (filled: sky, open: star) Spatial sky continuum emission
2600037
RedGreenBlue
z18.28
znorm14.10
sky 14.9 14.7 14.7
S/N 8.7 15.9 16.2
S/N(c) 7.6 14.4 14.7
SN(E/C) 0.74
2600038
RedGreenBlue
z18.13
znorm13.95
sky 14.6 14.8 14.8
S/N 7.8 15.0 15.5
S/N(c) 6.7 13.7 14.0
SN(E/C) 0.88
2600039
RedGreenBlue
z18.01
znorm13.83
sky 14.7 14.7 14.9
S/N 7.3 14.4 14.6
S/N(c) 6.4 13.2 13.0
SN(E/C) 0.81
2600040
RedGreenBlue
z17.95
znorm13.77
sky 14.5 14.9 14.7
S/N 7.0 13.4 13.8
S/N(c) 6.1 12.1 12.2
SN(E/C) 0.87
2600041
RedGreenBlue
z17.95
znorm13.77
sky 14.7 14.7 14.7
S/N 5.9 11.9 12.1
S/N(c) 5.0 10.8 10.8
SN(E/C) 0.85
2600042
RedGreenBlue
z17.85
znorm13.67
sky 14.6 14.7 14.8
S/N 4.6 9.8 9.9
S/N(c) 4.0 8.7 9.1
SN(E/C) 0.86
2600043
RedGreenBlue
z17.29
znorm13.11
sky 14.8 14.7 14.6
S/N 3.0 6.9 7.7
S/N(c) 2.5 6.2 7.0
SN(E/C) 0.91
2600044
RedGreenBlue
z17.67
znorm13.49
sky 14.5 14.5 14.7
S/N 3.4 7.7 8.5
S/N(c) 3.2 6.7 7.4
SN(E/C) 0.89