PLATE:5280 MJD: 55849 FIELD: M15

FrameCartsec zseeingNreadsDitherPixshiftZerosky continuumS/NS/N(cframe)
2870027 3 1.07 1.25 47 0.00 -0.00 18.98 [14.71,14.28,12.65] [ 14.6, 24.7, 23.4] [ 12.6, 21.5, 22.3]
2870028 3 1.07 1.19 47 0.41 0.00 19.06 [14.66,14.56,14.37] [ 14.9, 24.9, 27.4] [ 13.2, 22.3, 25.6]
2870029 3 1.07 1.52 47 0.41 -0.00 19.04 [14.74,14.50,14.40] [ 14.9, 24.4, 27.1] [ 12.9, 21.7, 25.3]
2870030 3 1.07 1.55 47 0.00 0.00 18.97 [14.64,14.57,14.52] [ 14.2, 23.6, 26.3] [ 12.2, 21.0, 24.5]
2870031 3 1.07 1.68 47 0.00 0.00 18.93 [14.77,14.75,14.40] [ 13.7, 22.9, 25.5] [ 11.8, 20.3, 23.9]
2870032 3 1.08 1.40 47 0.41 -0.00 18.87 [14.59,14.70,14.55] [ 13.3, 22.1, 25.1] [ 11.8, 19.6, 23.4]
2870033 3 1.08 1.67 47 0.41 0.00 18.82 [14.56,14.63,14.51] [ 13.0, 21.6, 24.1] [ 11.3, 19.1, 22.9]
2870034 3 1.09 1.66 47 0.00 0.00 18.97 [14.59,14.65,14.50] [ 14.0, 22.8, 25.7] [ 12.2, 20.7, 24.3]

IPAIRNAMESHIFTNEWSHIFTS/N NAMESHIFTNEWSHIFTS/N
0 02870033 0.413 0.000 175.34 02870031 0.003 0.410 185.87
1 02870028 0.410 0.003 198.38 02870030 0.004 0.409 190.51
2 02870029 0.412 0.001 194.78 02870027 0.000 0.413 187.76
3 02870032 0.411 0.002 179.48 02870034 0.005 0.409 185.95

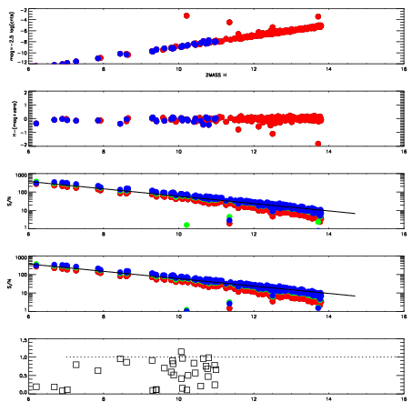
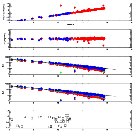
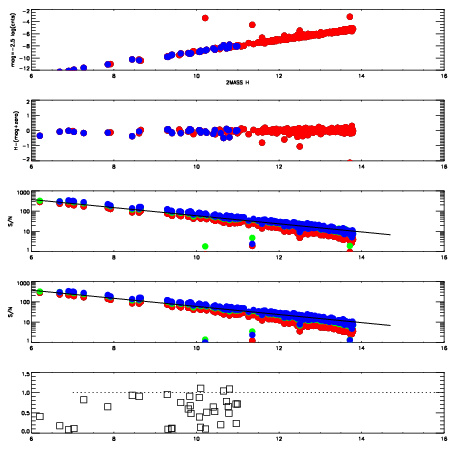
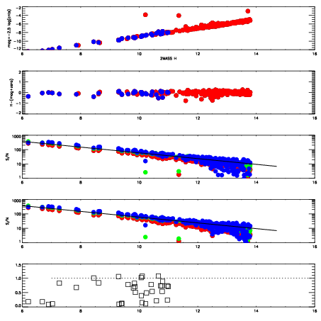
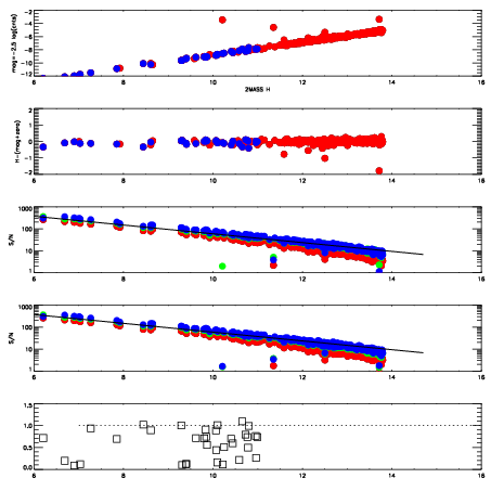
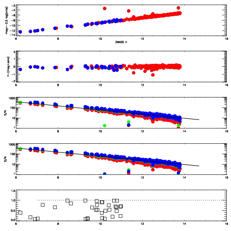
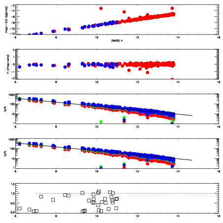
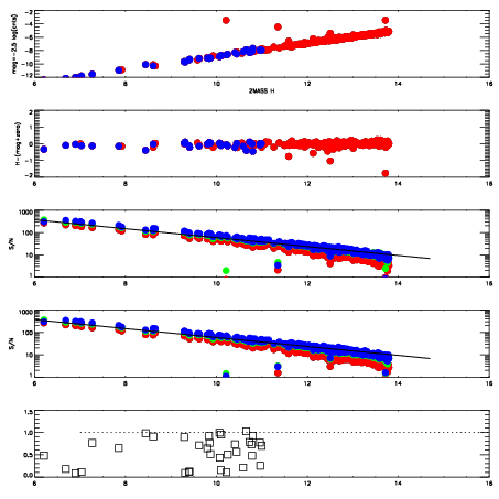
Visit (multiple exposure and dither combined) spectra

FrameZeropointsMag plots Spatial mag deviation Spatial sky telluric CH4 Spatial sky telluric CO2 Spatial sky telluric H2O Spatial sky 16325A emission deviations (filled: sky, open: star) Spatial sky continuum emission
2870027
RedGreenBlue
z18.98
znorm14.80
sky 14.7 14.3 12.7
S/N 14.6 24.7 23.4
S/N(c) 12.6 21.5 22.3
SN(E/C) 0.66
2870028
RedGreenBlue
z19.06
znorm14.88
sky 14.7 14.6 14.4
S/N 14.9 24.9 27.4
S/N(c) 13.2 22.3 25.6
SN(E/C) 0.54
2870029
RedGreenBlue
z19.04
znorm14.86
sky 14.7 14.5 14.4
S/N 14.9 24.4 27.1
S/N(c) 12.9 21.7 25.3
SN(E/C) 0.59
2870030
RedGreenBlue
z18.97
znorm14.79
sky 14.6 14.6 14.5
S/N 14.2 23.6 26.3
S/N(c) 12.2 21.0 24.5
SN(E/C) 0.59
2870031
RedGreenBlue
z18.93
znorm14.75
sky 14.8 14.7 14.4
S/N 13.7 22.9 25.5
S/N(c) 11.8 20.3 23.9
SN(E/C) 0.64
2870032
RedGreenBlue
z18.87
znorm14.69
sky 14.6 14.7 14.6
S/N 13.3 22.1 25.1
S/N(c) 11.8 19.6 23.4
SN(E/C) 0.70
2870033
RedGreenBlue
z18.82
znorm14.64
sky 14.6 14.6 14.5
S/N 13.0 21.6 24.1
S/N(c) 11.3 19.1 22.9
SN(E/C) 0.71
2870034
RedGreenBlue
z18.97
znorm14.79
sky 14.6 14.6 14.5
S/N 14.0 22.8 25.7
S/N(c) 12.2 20.7 24.3
SN(E/C) 0.55