PLATE:5280 MJD: 56100 FIELD: M15

FrameCartsec zseeingNreadsDitherPixshiftZerosky continuumS/NS/N(cframe)
5380010 8 1.07 1.54 47 0.00 0.00 18.57 [14.56,14.58,14.49] [ 11.2, 18.0, 18.3] [ 9.5, 16.4, 17.4]
5380011 8 1.07 1.58 47 0.49 -0.00 17.51 [14.56,14.72,15.05] [ 4.6, 9.5, 9.8] [ 4.0, 8.4, 9.0]
5380012 8 1.07 1.57 47 0.49 0.00 17.13 [14.46,14.91,15.23] [ 3.3, 7.1, 7.5] [ 3.0, 6.3, 6.9]
5380013 8 1.07 1.73 47 0.00 -0.00 15.16 [14.76,14.82,15.48] [ 0.6, 1.6, 1.6] [ 0.7, 1.3, 1.5]

IPAIRNAMESHIFTNEWSHIFTS/N NAMESHIFTNEWSHIFTS/N
0 05380012 0.489 0.000 83.93 05380013 0.004 0.485 30.60
1 05380011 0.488 0.001 104.03 05380010 0.000 0.489 166.08

Visit (multiple exposure and dither combined) spectra

FrameZeropointsMag plots Spatial mag deviation Spatial sky telluric CH4 Spatial sky telluric CO2 Spatial sky telluric H2O Spatial sky 16325A emission deviations (filled: sky, open: star) Spatial sky continuum emission
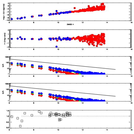
5380010
RedGreenBlue
z18.57
znorm14.39
sky 14.6 14.6 14.5
S/N 11.2 18.0 18.3
S/N(c) 9.5 16.4 17.4
SN(E/C) 0.70
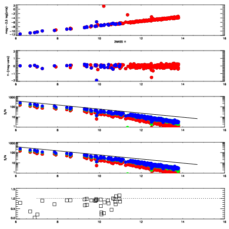
5380011
RedGreenBlue
z17.51
znorm13.33
sky 14.6 14.7 15.1
S/N 4.6 9.5 9.8
S/N(c) 4.0 8.4 9.0
SN(E/C) 0.85
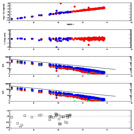
5380012
RedGreenBlue
z17.13
znorm12.95
sky 14.5 14.9 15.2
S/N 3.3 7.1 7.5
S/N(c) 3.0 6.3 6.9
SN(E/C) 0.94
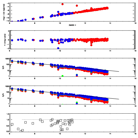
5380013
RedGreenBlue
z15.16
znorm10.98
sky 14.8 14.8 15.5
S/N 0.6 1.6 1.6
S/N(c) 0.7 1.3 1.5
SN(E/C) 1.08