PLATE:5280 MJD: 56101 FIELD: M15

FrameCartsec zseeingNreadsDitherPixshiftZerosky continuumS/NS/N(cframe)
5390010 8 1.07 1.82 47 0.00 0.00 19.03 [14.56,14.63,14.56] [ 14.9, 23.8, 25.7] [ 13.3, 22.4, 24.2]
5390011 8 1.08 1.61 47 0.48 0.00 18.98 [14.72,14.73,14.90] [ 14.3, 23.0, 25.3] [ 12.4, 21.7, 23.7]
5390012 8 1.08 1.54 47 0.48 0.00 19.08 [14.47,14.65,14.80] [ 15.3, 24.2, 26.7] [ 13.2, 22.8, 25.1]
5390013 8 1.09 1.75 47 0.00 -0.00 19.14 [14.74,14.60,14.67] [ 15.9, 25.2, 27.3] [ 13.8, 23.7, 25.8]

IPAIRNAMESHIFTNEWSHIFTS/N NAMESHIFTNEWSHIFTS/N
0 05390012 0.484 0.000 209.58 05390013 0.001 0.482 215.23
1 05390011 0.482 0.001 201.12 05390010 0.000 0.484 207.82

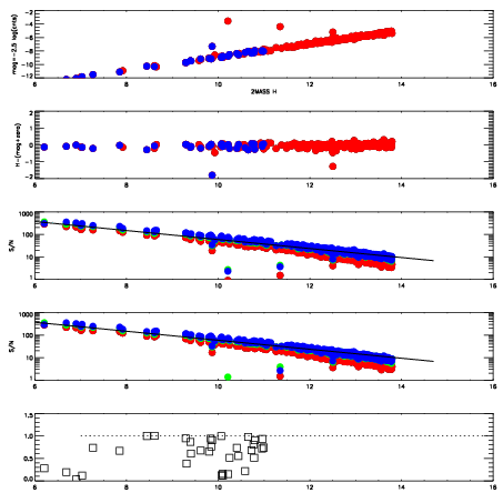
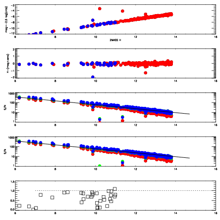
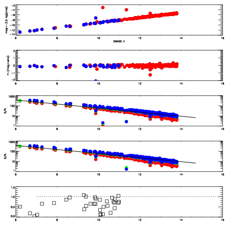
Visit (multiple exposure and dither combined) spectra

FrameZeropointsMag plots Spatial mag deviation Spatial sky telluric CH4 Spatial sky telluric CO2 Spatial sky telluric H2O Spatial sky 16325A emission deviations (filled: sky, open: star) Spatial sky continuum emission
5390010
RedGreenBlue
z19.03
znorm14.85
sky 14.6 14.6 14.6
S/N 14.9 23.8 25.7
S/N(c) 13.3 22.4 24.2
SN(E/C) 0.68
5390011
RedGreenBlue
z18.98
znorm14.80
sky 14.7 14.7 14.9
S/N 14.3 23.0 25.3
S/N(c) 12.4 21.7 23.7
SN(E/C) 0.67
5390012
RedGreenBlue
z19.08
znorm14.90
sky 14.5 14.7 14.8
S/N 15.3 24.2 26.7
S/N(c) 13.2 22.8 25.1
SN(E/C) 0.66
5390013
RedGreenBlue
z19.14
znorm14.96
sky 14.7 14.6 14.7
S/N 15.9 25.2 27.3
S/N(c) 13.8 23.7 25.8
SN(E/C) 0.65