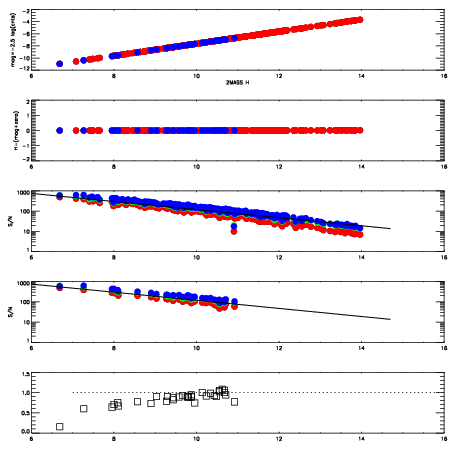
Left plots: red are targets, blue are telluric. Observed mags are calculated from median value of green chip. Zeropoint gives overall throughput: bigger number is more throughput.
First spatial plots: circles are objects, squares are tellurics, crosses are sky fibers. Colors give deviation of observed mag from expected 2MASS mag using the median zeropoint; red is brighter
Second spatial plots: circles are sky fibers. Colors give sky line brightness relative to plate median sky line brightness
FrameNreadsZeropointsMag plots Spatial mag deviation Spatial sky 16325A emission deviations (filled: sky, open: star) Spatial sky continuum emission Spatial sky telluric CO2 absorption deviations (filled: H < 10)
0 0
RedGreenBlue
z17.64
znorm Inf
sky -Inf -Inf -NaN
S/N 30.4 48.9 54.4
S/N(c) 0.0 0.0 0.0
SN(E/C) 0.90

IPAIRNAMESHIFTNEWSHIFTS/N NAMESHIFTNEWSHIFTS/N
0 15480017 0.495041 0.00000 19.1721 15480015 0.000158985 0.494882 19.1002
1 15480016 0.494513 0.000528008 19.1805 15480018 -0.000522063 0.495563 19.1207
2 15480012 0.493801 0.00124002 19.0896 15480011 0.00000 0.495041 19.0813
3 15480013 0.494643 0.000398010 19.0803 15480014 0.000299495 0.494742 19.0727