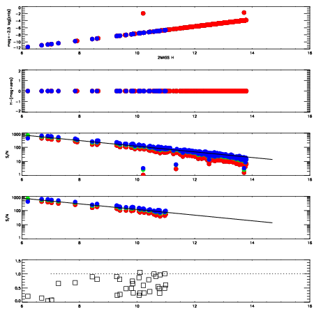
Left plots: red are targets, blue are telluric. Observed mags are calculated from median value of green chip. Zeropoint gives overall throughput: bigger number is more throughput.
First spatial plots: circles are objects, squares are tellurics, crosses are sky fibers. Colors give deviation of observed mag from expected 2MASS mag using the median zeropoint; red is brighter
Second spatial plots: circles are sky fibers. Colors give sky line brightness relative to plate median sky line brightness
FrameNreadsZeropointsMag plots Spatial mag deviation Spatial sky 16325A emission deviations (filled: sky, open: star) Spatial sky continuum emission Spatial sky telluric CO2 absorption deviations (filled: H < 10)
0 0
RedGreenBlue
z17.64
znorm Inf
sky -NaN -NaN -Inf
S/N 23.7 40.9 45.8
S/N(c) 0.0 0.0 0.0
SN(E/C) 0.54

IPAIRNAMESHIFTNEWSHIFTS/N NAMESHIFTNEWSHIFTS/N
0 02870033 0.413163 0.00000 18.8098 02870031 0.00295725 0.410206 18.9046
1 02870028 0.410057 0.00310600 19.0404 02870034 0.00454623 0.408617 18.9612
2 02870029 0.411730 0.00143301 19.0238 02870027 0.00000 0.413163 18.9555
3 02870032 0.411410 0.00175300 18.8576 02870030 0.00424170 0.408921 18.9543