PLATE:8672 MJD: 57504 FIELD: K06_078+16

FrameCartsec zseeingNreadsDitherPixshiftZerosky continuumS/NS/N(cframe)
19420057 4 1.09 2.39 47 0.00 0.00 17.83 [14.10,13.88,13.79] [ 6.2, 11.7, 12.9] [ 10.7, 12.4, 9.5]
19420058 4 1.08 2.61 47 0.48 0.00 18.11 [14.04,13.90,13.89] [ 8.1, 14.5, 16.5] [ 13.4, 14.9, 11.2]
19420059 4 1.07 1.70 47 0.48 -0.00 18.40 [14.48,14.27,14.20] [ 9.9, 17.2, 19.9] [ 15.9, 17.3, 13.3]
19420060 4 1.06 1.97 47 -0.00 -0.00 18.76 [14.98,14.79,14.85] [ 12.8, 21.3, 24.6] [ 20.3, 21.3, 16.2]
19420061 4 1.05 1.57 47 -0.00 0.00 18.82 [15.02,14.95,14.92] [ 13.0, 22.5, 25.4] [ 20.9, 22.0, 16.7]
19420062 4 1.05 1.57 47 0.48 0.00 18.86 [14.95,14.88,15.05] [ 13.7, 23.1, 26.2] [ 21.3, 22.3, 17.0]
19420063 4 1.04 1.63 47 0.48 -0.00 18.83 [14.95,15.00,14.96] [ 13.5, 22.7, 25.5] [ 21.2, 22.2, 16.8]
19420064 4 1.04 1.81 47 -0.00 -0.00 18.64 [15.25,14.88,14.88] [ 12.0, 20.9, 23.9] [ 19.5, 20.5, 15.3]
19420065 4 1.04 2.24 47 -0.00 0.00 18.61 [15.05,14.95,14.90] [ 11.5, 20.5, 22.8] [ 18.9, 20.4, 15.1]
19420066 4 1.03 1.90 47 0.48 -0.00 16.85 [13.42,13.31,13.15] [ 2.4, 5.0, 5.4] [ 4.9, 6.4, 4.6]

IPAIRNAMESHIFTNEWSHIFTS/N NAMESHIFTNEWSHIFTS/N
0 19420059 0.483 0.000 18.38 19420064 -0.003 0.486 18.62
1 19420062 0.481 0.002 18.83 19420061 -0.002 0.485 18.79
2 19420063 0.481 0.001 18.80 19420060 -0.002 0.485 18.74
3 19420058 0.482 0.001 18.09 19420065 -0.004 0.487 18.59
4 19420066 0.481 0.002 16.84 19420057 0.000 0.483 17.80

Visit (multiple exposure and dither combined) spectra

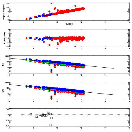
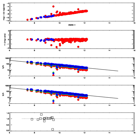
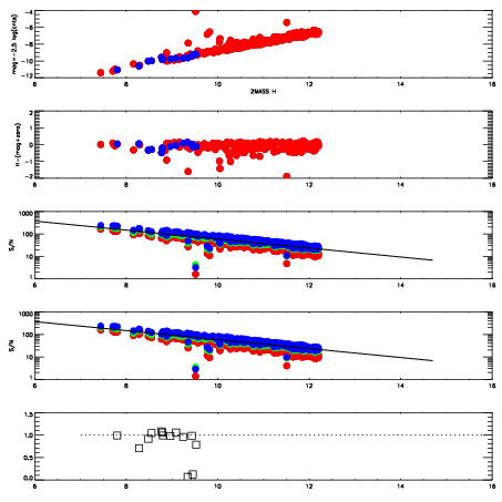
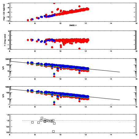
FrameZeropointsMag plots Spatial mag deviation Spatial sky telluric CH4 Spatial sky telluric CO2 Spatial sky telluric H2O Spatial sky 16325A emission deviations (filled: sky, open: star) Spatial sky continuum emission
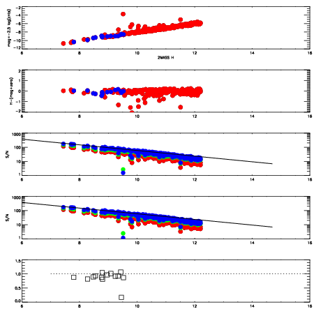
19420057
RedGreenBlue
z17.83
znorm13.65
sky 14.1 13.9 13.8
S/N 6.2 11.7 12.9
S/N(c) 10.7 12.4 9.5
SN(E/C) 0.94
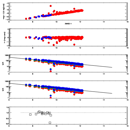
19420058
RedGreenBlue
z18.11
znorm13.93
sky 14.0 13.9 13.9
S/N 8.1 14.5 16.5
S/N(c) 13.4 14.9 11.2
SN(E/C) 0.91
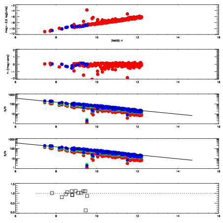
19420059
RedGreenBlue
z18.40
znorm14.22
sky 14.5 14.3 14.2
S/N 9.9 17.2 19.9
S/N(c) 15.9 17.3 13.3
SN(E/C) 1.01
19420060
RedGreenBlue
z18.76
znorm14.58
sky 15.0 14.8 14.9
S/N 12.8 21.3 24.6
S/N(c) 20.3 21.3 16.2
SN(E/C) 0.97
19420061
RedGreenBlue
z18.82
znorm14.64
sky 15.0 14.9 14.9
S/N 13.0 22.5 25.4
S/N(c) 20.9 22.0 16.7
SN(E/C) 0.98
19420062
RedGreenBlue
z18.86
znorm14.68
sky 14.9 14.9 15.0
S/N 13.7 23.1 26.2
S/N(c) 21.3 22.3 17.0
SN(E/C) 0.98
19420063
RedGreenBlue
z18.83
znorm14.65
sky 14.9 15.0 15.0
S/N 13.5 22.7 25.5
S/N(c) 21.2 22.2 16.8
SN(E/C) 0.95
19420064
RedGreenBlue
z18.64
znorm14.46
sky 15.3 14.9 14.9
S/N 12.0 20.9 23.9
S/N(c) 19.5 20.5 15.3
SN(E/C) 0.97
19420065
RedGreenBlue
z18.61
znorm14.43
sky 15.1 14.9 14.9
S/N 11.5 20.5 22.8
S/N(c) 18.9 20.4 15.1
SN(E/C) 1.02
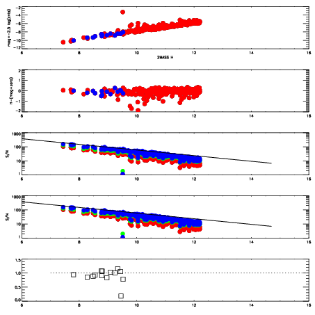
19420066
RedGreenBlue
z16.85
znorm12.67
sky 13.4 13.3 13.2
S/N 2.4 5.0 5.4
S/N(c) 4.9 6.4 4.6
SN(E/C) 1.19