PLATE:8923 MJD: 57504 FIELD: PAL5-1

FrameCartsec zseeingNreadsDitherPixshiftZerosky continuumS/NS/N(cframe)
19420017 7 1.79 2.15 94 0.00 0.00 19.30 [14.62,14.24,14.28] [ 22.8, 32.7, 36.9] [ 22.9, 27.4, 4.9]
19420018 7 1.68 1.69 94 0.49 0.00 19.39 [14.61,14.37,14.36] [ 22.6, 32.8, 36.8] [ 23.8, 28.8, 5.1]
19420019 7 1.58 1.76 94 0.48 0.00 19.59 [14.74,14.43,14.35] [ 24.5, 35.6, 39.8] [ 27.1, 31.8, 5.5]
19420020 7 1.51 1.88 94 -0.01 -0.00 19.59 [14.72,14.48,14.43] [ 23.9, 35.6, 40.5] [ 28.6, 33.4, 5.7]

IPAIRNAMESHIFTNEWSHIFTS/N NAMESHIFTNEWSHIFTS/N
0 19420018 0.486 0.000 19.41 19420017 0.000 0.486 19.34
1 19420019 0.484 0.002 19.58 19420020 -0.010 0.497 19.59

Visit (multiple exposure and dither combined) spectra

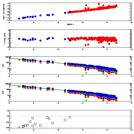
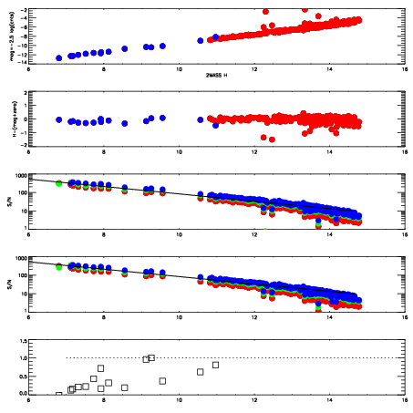
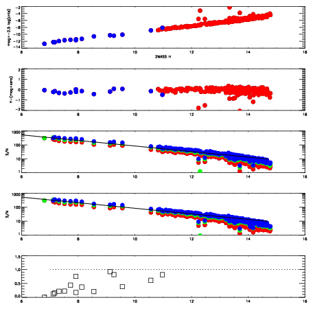
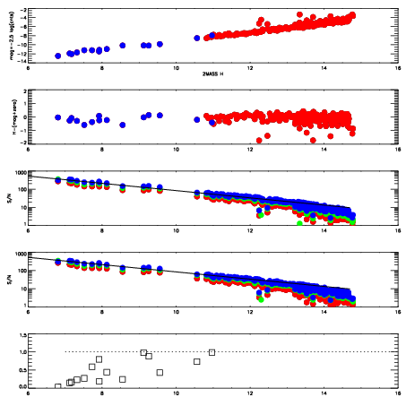
FrameZeropointsMag plots Spatial mag deviation Spatial sky telluric CH4 Spatial sky telluric CO2 Spatial sky telluric H2O Spatial sky 16325A emission deviations (filled: sky, open: star) Spatial sky continuum emission
19420017
RedGreenBlue
z19.30
znorm14.37
sky 14.6 14.2 14.3
S/N 22.8 32.7 36.9
S/N(c) 22.9 27.4 4.9
SN(E/C) 0.43
19420018
RedGreenBlue
z19.39
znorm14.46
sky 14.6 14.4 14.4
S/N 22.6 32.8 36.8
S/N(c) 23.8 28.8 5.1
SN(E/C) 0.35
19420019
RedGreenBlue
z19.59
znorm14.66
sky 14.7 14.4 14.4
S/N 24.5 35.6 39.8
S/N(c) 27.1 31.8 5.5
SN(E/C) 0.37
19420020
RedGreenBlue
z19.59
znorm14.66
sky 14.7 14.5 14.4
S/N 23.9 35.6 40.5
S/N(c) 28.6 33.4 5.7
SN(E/C) 0.32