PLATE:8967 MJD: 57504 FIELD: 080+45

FrameCartsec zseeingNreadsDitherPixshiftZerosky continuumS/NS/N(cframe)
19420035 9 1.10 1.85 47 0.00 0.00 18.33 [14.45,14.38,14.57] [ 13.2, 20.7, 23.5] [ 12.5, 15.4, 21.6]
19420036 9 1.09 1.73 47 0.49 -0.00 18.07 [14.42,14.39,14.38] [ 10.9, 17.9, 20.2] [ 10.9, 13.4, 18.6]
19420037 9 1.08 1.39 47 0.49 0.00 17.53 [14.08,14.05,14.12] [ 7.5, 13.2, 14.7] [ 8.2, 10.6, 14.7]
19420038 9 1.08 2.30 47 0.00 0.00 17.00 [13.83,13.87,13.93] [ 5.0, 9.5, 10.4] [ 6.1, 8.2, 11.4]
19420039 9 1.07 1.35 47 0.00 0.00 17.39 [14.04,13.95,14.08] [ 6.8, 12.0, 13.6] [ 7.5, 9.9, 13.9]
19420040 9 1.07 1.42 47 0.48 -0.00 17.41 [13.97,13.97,13.99] [ 6.9, 12.1, 13.6] [ 7.6, 9.9, 13.9]
19420041 9 1.06 1.49 47 0.48 0.00 17.33 [13.98,13.99,13.97] [ 6.5, 11.9, 13.4] [ 7.5, 9.8, 13.3]
19420042 9 1.06 1.67 47 -0.00 0.00 16.78 [13.89,13.84,13.74] [ 4.4, 8.3, 9.0] [ 5.3, 7.1, 9.7]

IPAIRNAMESHIFTNEWSHIFTS/N NAMESHIFTNEWSHIFTS/N
0 19420036 0.487 0.000 18.05 19420035 0.000 0.487 18.31
1 19420037 0.486 0.001 17.52 19420039 0.002 0.485 17.34
2 19420040 0.484 0.003 17.40 19420038 0.002 0.485 16.99
3 19420041 0.484 0.003 17.32 19420042 -0.000 0.487 16.81

Visit (multiple exposure and dither combined) spectra

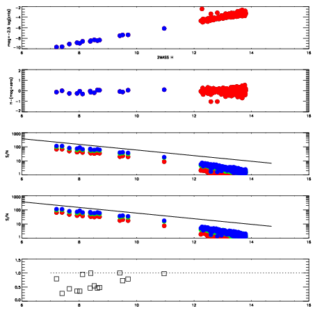
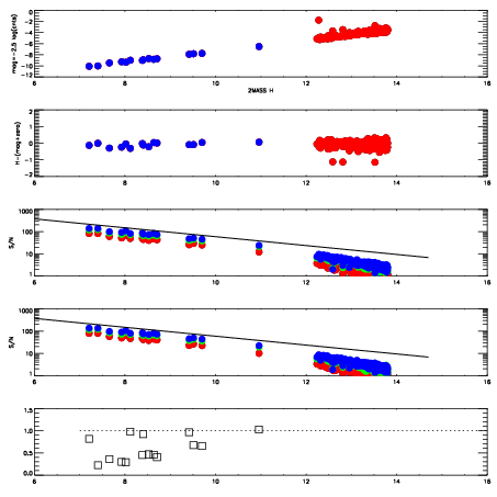
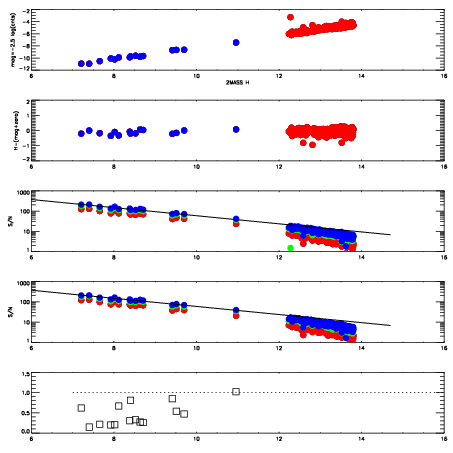
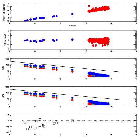
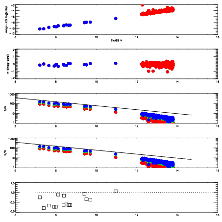
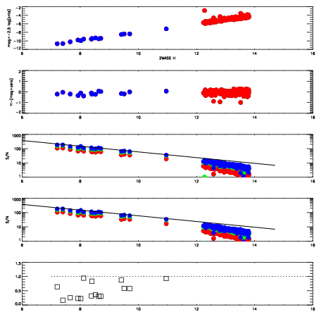
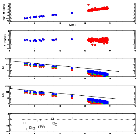
FrameZeropointsMag plots Spatial mag deviation Spatial sky telluric CH4 Spatial sky telluric CO2 Spatial sky telluric H2O Spatial sky 16325A emission deviations (filled: sky, open: star) Spatial sky continuum emission
19420035
RedGreenBlue
z18.33
znorm14.15
sky 14.5 14.4 14.6
S/N 13.2 20.7 23.5
S/N(c) 12.5 15.4 21.6
SN(E/C) 0.33
19420036
RedGreenBlue
z18.07
znorm13.89
sky 14.4 14.4 14.4
S/N 10.9 17.9 20.2
S/N(c) 10.9 13.4 18.6
SN(E/C) 0.36
19420037
RedGreenBlue
z17.53
znorm13.35
sky 14.1 14.1 14.1
S/N 7.5 13.2 14.7
S/N(c) 8.2 10.6 14.7
SN(E/C) 0.43
19420038
RedGreenBlue
z17.00
znorm12.82
sky 13.8 13.9 13.9
S/N 5.0 9.5 10.4
S/N(c) 6.1 8.2 11.4
SN(E/C) 0.55
19420039
RedGreenBlue
z17.39
znorm13.21
sky 14.0 14.0 14.1
S/N 6.8 12.0 13.6
S/N(c) 7.5 9.9 13.9
SN(E/C) 0.49
19420040
RedGreenBlue
z17.41
znorm13.23
sky 14.0 14.0 14.0
S/N 6.9 12.1 13.6
S/N(c) 7.6 9.9 13.9
SN(E/C) 0.47
19420041
RedGreenBlue
z17.33
znorm13.15
sky 14.0 14.0 14.0
S/N 6.5 11.9 13.4
S/N(c) 7.5 9.8 13.3
SN(E/C) 0.49
19420042
RedGreenBlue
z16.78
znorm12.60
sky 13.9 13.8 13.7
S/N 4.4 8.3 9.0
S/N(c) 5.3 7.1 9.7
SN(E/C) 0.64