PLATE:9021 MJD: 57504 FIELD: K04_083+13

FrameCartsec zseeingNreadsDitherPixshiftZerosky continuumS/NS/N(cframe)
19420046 3 1.35 2.38 47 0.00 0.00 18.44 [14.53,14.24,14.52] [ 10.8, 18.9, 21.3] [ 14.1, 12.4, 16.2]
19420047 3 1.33 1.95 47 0.48 -0.00 18.78 [14.67,14.71,14.49] [ 13.6, 22.8, 25.6] [ 17.1, 14.7, 19.2]
19420048 3 1.30 1.96 47 0.48 -0.00 18.66 [14.59,14.62,14.61] [ 11.8, 20.9, 22.9] [ 16.1, 13.9, 18.1]
19420049 3 1.27 2.00 47 -0.00 0.00 18.36 [14.60,14.42,14.28] [ 9.9, 17.5, 19.3] [ 13.1, 11.8, 15.4]
19420050 3 1.25 2.26 47 -0.00 -0.00 18.04 [14.07,13.98,13.82] [ 7.9, 14.1, 15.5] [ 10.7, 9.9, 12.8]
19420051 3 1.23 1.92 47 0.49 0.00 16.22 [13.67,13.65,13.55] [ 1.6, 3.8, 3.9] [ 2.6, 3.0, 3.7]
19420052 3 1.21 1.99 47 14.98 [13.56,13.54,13.45] [ 0.7, 1.3, 0.9] [ 0.0, 0.0, 0.0]
19420053 3 1.19 2.07 47 0.00 0.00 16.58 [13.95,13.86,13.85] [ 2.1, 5.3, 5.5] [ 3.5, 3.8, 4.9]

IPAIRNAMESHIFTNEWSHIFTS/N NAMESHIFTNEWSHIFTS/N
0 19420051 0.485 0.000 16.18 19420050 -0.002 0.488 18.02
1 19420047 0.483 0.002 18.75 19420046 0.000 0.485 18.42
2 19420048 0.483 0.003 18.64 19420049 -0.002 0.487 18.33

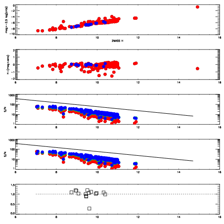
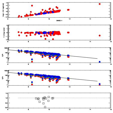
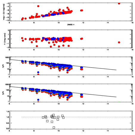
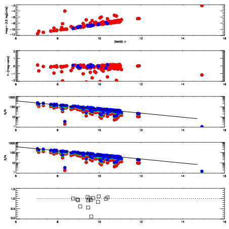
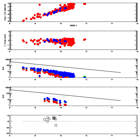
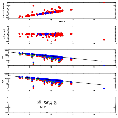
Visit (multiple exposure and dither combined) spectra

FrameZeropointsMag plots Spatial mag deviation Spatial sky telluric CH4 Spatial sky telluric CO2 Spatial sky telluric H2O Spatial sky 16325A emission deviations (filled: sky, open: star) Spatial sky continuum emission
19420046
RedGreenBlue
z18.44
znorm14.26
sky 14.5 14.2 14.5
S/N 10.8 18.9 21.3
S/N(c) 14.1 12.4 16.2
SN(E/C) 0.96
19420047
RedGreenBlue
z18.78
znorm14.60
sky 14.7 14.7 14.5
S/N 13.6 22.8 25.6
S/N(c) 17.1 14.7 19.2
SN(E/C) 0.94
19420048
RedGreenBlue
z18.66
znorm14.48
sky 14.6 14.6 14.6
S/N 11.8 20.9 22.9
S/N(c) 16.1 13.9 18.1
SN(E/C) 0.94
19420049
RedGreenBlue
z18.36
znorm14.18
sky 14.6 14.4 14.3
S/N 9.9 17.5 19.3
S/N(c) 13.1 11.8 15.4
SN(E/C) 0.95
19420050
RedGreenBlue
z18.04
znorm13.86
sky 14.1 14.0 13.8
S/N 7.9 14.1 15.5
S/N(c) 10.7 9.9 12.8
SN(E/C) 0.95
19420051
RedGreenBlue
z16.22
znorm12.04
sky 13.7 13.6 13.6
S/N 1.6 3.8 3.9
S/N(c) 2.6 3.0 3.7
SN(E/C) 1.05
19420052
RedGreenBlue
z14.98
znorm10.79
sky 13.6 13.5 13.5
S/N 0.7 1.3 0.9
S/N(c) 0.0 0.0 0.0
SN(E/C) 1.25
19420053
RedGreenBlue
z16.58
znorm12.40
sky 13.9 13.9 13.8
S/N 2.1 5.3 5.5
S/N(c) 3.5 3.8 4.9
SN(E/C) 0.99