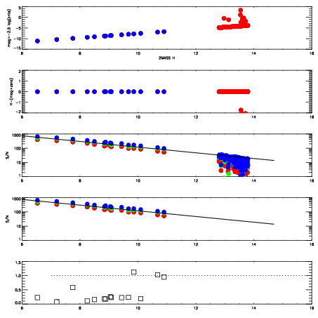
Left plots: red are targets, blue are telluric. Observed mags are calculated from median value of green chip. Zeropoint gives overall throughput: bigger number is more throughput.
First spatial plots: circles are objects, squares are tellurics, crosses are sky fibers. Colors give deviation of observed mag from expected 2MASS mag using the median zeropoint; red is brighter
Second spatial plots: circles are sky fibers. Colors give sky line brightness relative to plate median sky line brightness
FrameNreadsZeropointsMag plots Spatial mag deviation Spatial sky 16325A emission deviations (filled: sky, open: star) Spatial sky continuum emission Spatial sky telluric CO2 absorption deviations (filled: H < 10)
0 0
RedGreenBlue
z17.64
znorm Inf
sky -NaN -Inf -NaN
S/N 28.6 46.6 53.8
S/N(c) 16.6 40.4 0.8
SN(E/C) 0.23

IPAIRNAMESHIFTNEWSHIFTS/N NAMESHIFTNEWSHIFTS/N
0 19050036 0.501566 0.00000 18.6148 19050037 0.000964514 0.500601 18.6693
1 19050040 0.501284 0.000281990 18.7346 19050041 0.00202370 0.499542 18.8635
2 19050039 0.501468 9.79900e-05 18.6978 19050038 0.000254827 0.501311 18.7772
3 19050035 0.500494 0.00107199 18.6567 19050034 0.00000 0.501566 18.7435