Index of /cfs/cosmo/data/sga/2020/html/206/PGC1457504
Parent Directory
PGC1457504-largegalaxy-844478-ellipse-cog.png
PGC1457504-largegalaxy-844478-ellipse-multiband.png
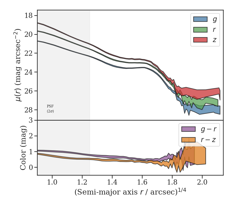
PGC1457504-largegalaxy-844478-ellipse-sbprofile.png
PGC1457504-largegalaxy-grz-montage.png
PGC1457504-largegalaxy-image-grz.png
sga_2020_html_206_PGC1457504.sha256sum
thumb-PGC1457504-largegalaxy-844478-ellipse-multiband.png
thumb-PGC1457504-largegalaxy-grz-montage.png
thumb2-PGC1457504-largegalaxy-grz-montage.png