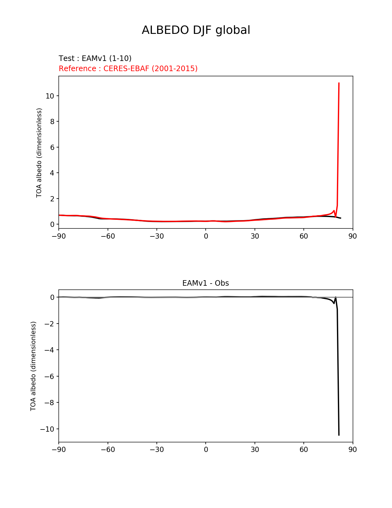
DJF

Download
Metadata KeyMetadata Value
Use this command to recreate this image:e3sm_diags --no_viewer --short_test_name 'EAMv1' --diff_colormap 'diverging_bwr.rgb' --test_data_path '/global/cscratch1/sd/plma/people/for_bryce/climo/v1_f2000/' --backend 'mpl' --canvas_size_h '1628' --reference_colormap 'cet_rainbow.rgb' --reference_data_path '/global/project/projectdirs/acme/acme_diags/obs_for_e3sm_diags/climatology/' --main_title 'ALBEDO DJF global' --results_dir '/global/cscratch1/sd/beharrop/people/for_polun/EAMv1/' --regions 'global' --test_colormap 'cet_rainbow.rgb' --regrid_method 'conservative' --variables 'ALBEDO' --figsize '8.5' '11.0' --ref_name 'ceres_ebaf_toa_v4.0' --run_type 'model_vs_obs' --regrid_tool 'esmf' --num_workers '64' --reference_name 'CERES-EBAF' --output_format 'png' --case_id 'CERES-EBAF-TOA-v4.0' --granulate 'variables' 'seasons' 'regions' 'plevs' --test_name 'v1_f2000' --seasons 'DJF' --arrows --selectors 'sets' 'seasons' --diff_title 'EAMv1 - Obs' --sets 'zonal_mean_xy' --canvas_size_w '1212' --multiprocessing --dpi '150'