| 20191109_storageparms | ELM_v1default | ||
|---|---|---|---|
| Biomass | 0.72 | 0.73 | |
| GEOCARBON (27.8%) | 0.81 | 0.81 | |
| Tropical (27.8%) | 0.65 | 0.68 | |
| GlobalCarbon (22.2%) | 0.66 | 0.66 | |
| NBCD2000 (11.1%) | 0.80 | 0.80 | |
| USForest (11.1%) | 0.73 | 0.72 | |
| Burned Area | 0.49 | 0.50 | |
| GFED4S (100.0%) | 0.49 | 0.50 | |
| Carbon Dioxide | 0.78 | 0.78 | |
| NOAA (100.0%) | 0.78 | 0.78 | |
| Gross Primary Productivity | 0.62 | 0.62 | |
| Fluxnet (37.5%) | 0.65 | 0.65 | |
| GBAF (62.5%) | 0.60 | 0.60 | |
| Leaf Area Index | 0.50 | 0.50 | |
| AVHRR (50.0%) | 0.52 | 0.52 | |
| MODIS (50.0%) | 0.48 | 0.48 | |
| Global Net Ecosystem Carbon Balance | 0.88 | 0.83 | |
| GCP (50.0%) | 0.82 | 0.76 | |
| Hoffman (50.0%) | 0.93 | 0.90 | |
| Net Ecosystem Exchange | 0.51 | 0.52 | |
| Fluxnet (69.2%) | 0.60 | 0.60 | |
| GBAF (30.8%) | 0.31 | 0.33 | |
| Ecosystem Respiration | 0.61 | 0.61 | |
| Fluxnet (60.0%) | 0.64 | 0.63 | |
| GBAF (40.0%) | 0.56 | 0.58 | |
| Soil Carbon | 0.70 | 0.70 | |
| HWSD (55.6%) | 0.68 | 0.68 | |
| NCSCDV22 (44.4%) | 0.74 | 0.73 | |
| Ecosystem and Carbon Cycle Summary | 0.66 | 0.66 | |
| Evapotranspiration | 0.66 | 0.66 | |
| GLEAM (50.0%) | 0.68 | 0.68 | |
| MODIS (50.0%) | 0.64 | 0.65 | |
| Evaporative Fraction | 0.76 | 0.76 | |
| GBAF (100.0%) | 0.76 | 0.76 | |
| Latent Heat | 0.65 | 0.66 | |
| Fluxnet (25.0%) | 0.69 | 0.69 | |
| GBAF (75.0%) | 0.64 | 0.64 | |
| Runoff | 0.80 | 0.80 | |
| Dai (100.0%) | 0.80 | 0.80 | |
| Sensible Heat | 0.69 | 0.69 | |
| Fluxnet (37.5%) | 0.70 | 0.70 | |
| GBAF (62.5%) | 0.68 | 0.68 | |
| Terrestrial Water Storage Anomaly | ~ | 0.62 | |
| GRACE (100.0%) | ~ | 0.62 | |
| Snow Water Equivalent | ~ | ~ | |
| CanSISE (100.0%) | ~ | ~ | |
| Permafrost | 0.81 | 0.81 | |
| NSIDC (100.0%) | 0.81 | 0.81 | |
| Hydrology Cycle Summary | ~ | 0.60 | |
| Albedo | 0.57 | 0.57 | |
| CERES (50.0%) | 0.60 | 0.60 | |
| GEWEX.SRB (50.0%) | 0.55 | 0.55 | |
| Surface Upward SW Radiation | 0.66 | 0.66 | |
| CERES (35.7%) | 0.71 | 0.71 | |
| GEWEX.SRB (35.7%) | 0.68 | 0.68 | |
| WRMC.BSRN (28.6%) | 0.56 | 0.56 | |
| Surface Net SW Radiation | 0.75 | 0.75 | |
| CERES (35.7%) | 0.82 | 0.82 | |
| GEWEX.SRB (35.7%) | 0.80 | 0.80 | |
| WRMC.BSRN (28.6%) | 0.59 | 0.59 | |
| Surface Upward LW Radiation | 0.77 | 0.77 | |
| CERES (35.7%) | 0.81 | 0.81 | |
| GEWEX.SRB (35.7%) | 0.81 | 0.81 | |
| WRMC.BSRN (28.6%) | 0.67 | 0.67 | |
| Surface Net LW Radiation | 0.68 | 0.68 | |
| CERES (35.7%) | 0.71 | 0.71 | |
| GEWEX.SRB (35.7%) | 0.72 | 0.72 | |
| WRMC.BSRN (28.6%) | 0.58 | 0.58 | |
| Surface Net Radiation | 0.73 | 0.73 | |
| CERES (27.8%) | 0.77 | 0.77 | |
| Fluxnet (22.2%) | 0.78 | 0.78 | |
| GEWEX.SRB (27.8%) | 0.75 | 0.75 | |
| WRMC.BSRN (22.2%) | 0.57 | 0.57 | |
| Radiation and Energy Cycle Summary | 0.70 | 0.70 | |
| Surface Air Temperature | 0.92 | 0.92 | |
| CRU (73.5%) | 0.94 | 0.94 | |
| Fluxnet (26.5%) | 0.86 | 0.86 | |
| Precipitation | 0.78 | 0.78 | |
| CMAP (29.0%) | 0.74 | 0.74 | |
| Fluxnet (13.0%) | 0.61 | 0.61 | |
| GPCC (29.0%) | 0.93 | 0.93 | |
| GPCP2 (29.0%) | 0.77 | 0.77 | |
| Surface Relative Humidity | 0.60 | 0.60 | |
| ERA (100.0%) | 0.60 | 0.60 | |
| Surface Downward SW Radiation | 0.83 | 0.83 | |
| CERES (27.8%) | 0.82 | 0.82 | |
| Fluxnet (22.2%) | 0.86 | 0.86 | |
| GEWEX.SRB (27.8%) | 0.85 | 0.85 | |
| WRMC.BSRN (22.2%) | 0.78 | 0.78 | |
| Surface Downward LW Radiation | 0.83 | 0.83 | |
| CERES (35.7%) | 0.83 | 0.83 | |
| GEWEX.SRB (35.7%) | 0.87 | 0.87 | |
| WRMC.BSRN (28.6%) | 0.78 | 0.78 | |
| Forcings Summary | 0.77 | 0.77 | |
| Overall Summary | ~ | 0.68 |
| 20191109_storageparms | ELM_v1default | ||
|---|---|---|---|
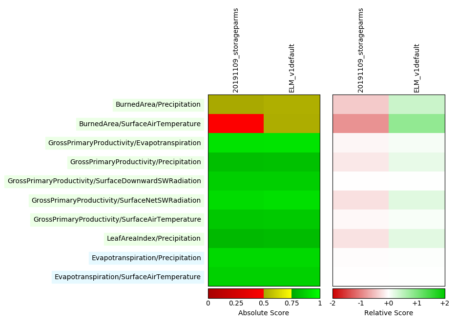
| BurnedArea/GFED4S | 0.50 | 0.52 | |
| Precipitation/GPCP2 (50.0%) | 0.51 | 0.52 | |
| SurfaceAirTemperature/CRU (50.0%) | 0.49 | 0.52 | |
| GrossPrimaryProductivity/GBAF | 0.87 | 0.87 | |
| Evapotranspiration/GLEAM (20.0%) | 0.92 | 0.92 | |
| Precipitation/GPCP2 (20.0%) | 0.82 | 0.83 | |
| SurfaceDownwardSWRadiation/CERES (20.0%) | 0.86 | 0.86 | |
| SurfaceNetSWRadiation/CERES (20.0%) | 0.90 | 0.91 | |
| SurfaceAirTemperature/CRU (20.0%) | 0.85 | 0.85 | |
| LeafAreaIndex/AVHRR | 0.78 | 0.79 | |
| Precipitation/GPCP2 (100.0%) | 0.78 | 0.79 | |
| LeafAreaIndex/MODIS | 0.82 | 0.83 | |
| Precipitation/GPCP2 (100.0%) | 0.82 | 0.83 | |
| Ecosystem and Carbon Cycle Summary | ~ | ~ | |
| Evapotranspiration/GLEAM | 0.89 | 0.90 | |
| Precipitation/GPCP2 (50.0%) | 0.87 | 0.87 | |
| SurfaceAirTemperature/CRU (50.0%) | 0.92 | 0.92 | |
| Evapotranspiration/MODIS | 0.86 | 0.86 | |
| Precipitation/GPCP2 (50.0%) | 0.91 | 0.91 | |
| SurfaceAirTemperature/CRU (50.0%) | 0.82 | 0.82 | |
| Hydrology Cycle Summary | ~ | ~ | |
| Radiation and Energy Cycle Summary (0.0%) | ~ | ~ | |
| Forcings Summary (0.0%) | ~ | ~ | |
| Overall Summary | ~ | ~ |