AMWG Variability Diagnostics for Daily Data


Intraseasonal Variability

Daily 200 hPa velocity potential anomalies computed and then averaged
over 5S-5N, 20-70 day bandpass filter then applied. Hovmöller plots.
Bandpass filter response plot

v2P31ZMmicro.LR.piControl.TimeresolutionOutput. Anomalies are relative to the 0101-0080 mean.
101-102
103-104
105-106
107-108
109-110
111-112
113-114
115-116
117-118
119-120

Anomalies computed relative to the time period mean.
NCEP Reanalysis CAM3 Amip (T85)
1981-1982 1981-1982
1983-1984 1983-1984
1985-1986 1985-1986
1987-1988 1987-1988
1989-1990 1989-1990
1991-1992 1991-1992
1993-1994 1993-1994
1995-1996
1997-1998
1999-2000

Madden-Julian Oscillation

Time series of daily 200 hPa zonal wind averaged over 10N-10S.
200 hPa zonal wind bandpass filtered for 20-100 day period.
MJO Index defined as the running variance of the bandpass filtered data.
v2P31ZMmicro.LR.piControl.TimeresolutionOutput
NCEP Reanalysis
CAM3 Amip (T85)

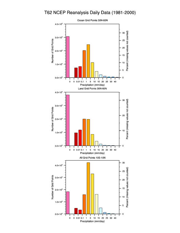
Histograms

Histograms of daily precipitation rate for the Tropics and NH Extratropics.
v2P31ZMmicro.LR.piControl.TimeresolutionOutput
NCEP Reanalysis
CAM3 Amip (T85)