AMWG Variability Diagnostics for Daily Data


Intraseasonal Variability

Daily 200 hPa velocity potential anomalies computed and then averaged
over 5S-5N, 20-70 day bandpass filter then applied. Hovmöller plots.
Bandpass filter response plot

20210719.PhaseII.F20TR-P3.NGD.ne30pg2.corroutput.compy. Anomalies are relative to the 1991-2010 mean.
1991-1992
1993-1994
1995-1996
1997-1998
1999-2000
2001-2002
2003-2004
2005-2006
2007-2008
2009-2010

Anomalies computed relative to the time period mean.
NCEP Reanalysis CAM3 Amip (T85)
1981-1982 1981-1982
1983-1984 1983-1984
1985-1986 1985-1986
1987-1988 1987-1988
1989-1990 1989-1990
1991-1992 1991-1992
1993-1994 1993-1994
1995-1996
1997-1998
1999-2000

Madden-Julian Oscillation

Time series of daily 200 hPa zonal wind averaged over 10N-10S.
200 hPa zonal wind bandpass filtered for 20-100 day period.
MJO Index defined as the running variance of the bandpass filtered data.
20210719.PhaseII.F20TR-P3.NGD.ne30pg2.corroutput.compy
NCEP Reanalysis
CAM3 Amip (T85)

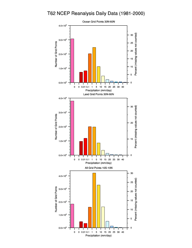
Histograms

Histograms of daily precipitation rate for the Tropics and NH Extratropics.
20210719.PhaseII.F20TR-P3.NGD.ne30pg2.corroutput.compy
NCEP Reanalysis
CAM3 Amip (T85)

EOF analysis

EOF analysis 30S to 30N (lat-lon map, time series)
PRECT summer 20210719.PhaseII.F20TR-P3.NGD.ne30pg2.corroutput.compy PRECT summer 20210719.PhaseII.F20TR-P3.NGD.ne30pg2.corroutput.compy
PRECT summer TRMM PRECT summer TRMM
PRECT winter 20210719.PhaseII.F20TR-P3.NGD.ne30pg2.corroutput.compy PRECT winter 20210719.PhaseII.F20TR-P3.NGD.ne30pg2.corroutput.compy
PRECT winter TRMM PRECT winter TRMM
FLUT summer 20210719.PhaseII.F20TR-P3.NGD.ne30pg2.corroutput.compy FLUT summer 20210719.PhaseII.F20TR-P3.NGD.ne30pg2.corroutput.compy
FLUT summer ERA FLUT summer ERA
FLUT winter 20210719.PhaseII.F20TR-P3.NGD.ne30pg2.corroutput.compy FLUT winter 20210719.PhaseII.F20TR-P3.NGD.ne30pg2.corroutput.compy
FLUT winter ERA FLUT winter ERA
U850 summer 20210719.PhaseII.F20TR-P3.NGD.ne30pg2.corroutput.compy U850 summer 20210719.PhaseII.F20TR-P3.NGD.ne30pg2.corroutput.compy
U850 summer ERA U850 summer ERA
U850 winter 20210719.PhaseII.F20TR-P3.NGD.ne30pg2.corroutput.compy U850 winter 20210719.PhaseII.F20TR-P3.NGD.ne30pg2.corroutput.compy
U850 winter ERA U850 winter ERA
U200 summer 20210719.PhaseII.F20TR-P3.NGD.ne30pg2.corroutput.compy U200 summer 20210719.PhaseII.F20TR-P3.NGD.ne30pg2.corroutput.compy
U200 summer ERA U200 summer ERA
U200 winter 20210719.PhaseII.F20TR-P3.NGD.ne30pg2.corroutput.compy U200 winter 20210719.PhaseII.F20TR-P3.NGD.ne30pg2.corroutput.compy
U200 winter ERA U200 winter ERA
V200 summer 20210719.PhaseII.F20TR-P3.NGD.ne30pg2.corroutput.compy V200 summer 20210719.PhaseII.F20TR-P3.NGD.ne30pg2.corroutput.compy
V200 summer ERA V200 summer ERA
V200 winter 20210719.PhaseII.F20TR-P3.NGD.ne30pg2.corroutput.compy V200 winter 20210719.PhaseII.F20TR-P3.NGD.ne30pg2.corroutput.compy
V200 winter ERA V200 winter ERA

lag-cross-correlations

The climatological cross correlation plots (20210719.PhaseII.F20TR-P3.NGD.ne30pg2.corroutput.compy vs obs)
lag lat lon summer 20210719.PhaseII.F20TR-P3.NGD.ne30pg2.corroutput.compy lag lat lon summer ERA
lag lat lon winter 20210719.PhaseII.F20TR-P3.NGD.ne30pg2.corroutput.compy lag lat lon winter ERA
lag lat lon annual 20210719.PhaseII.F20TR-P3.NGD.ne30pg2.corroutput.compy lag lat lon annual ERA

wavenumber - frequency spectra

The wavenumber - frequency spectra plots (20210719.PhaseII.F20TR-P3.NGD.ne30pg2.corroutput.compy vs obs)
PRECT summer 20210719.PhaseII.F20TR-P3.NGD.ne30pg2.corroutput.compy PRECT summer TRMM
PRECT winter 20210719.PhaseII.F20TR-P3.NGD.ne30pg2.corroutput.compy PRECT winter TRMM
FLUT summer 20210719.PhaseII.F20TR-P3.NGD.ne30pg2.corroutput.compy FLUT summer ERA
FLUT winter 20210719.PhaseII.F20TR-P3.NGD.ne30pg2.corroutput.compy FLUT winter ERA
U850 summer 20210719.PhaseII.F20TR-P3.NGD.ne30pg2.corroutput.compy U850 summer ERA
U850 winter 20210719.PhaseII.F20TR-P3.NGD.ne30pg2.corroutput.compy U850 winter ERA
V850 summer 20210719.PhaseII.F20TR-P3.NGD.ne30pg2.corroutput.compy V850 summer ERA
V850 winter 20210719.PhaseII.F20TR-P3.NGD.ne30pg2.corroutput.compy V850 winter ERA
U200 summer 20210719.PhaseII.F20TR-P3.NGD.ne30pg2.corroutput.compy U200 summer ERA
U200 winter 20210719.PhaseII.F20TR-P3.NGD.ne30pg2.corroutput.compy U200 winter ERA
V200 summer 20210719.PhaseII.F20TR-P3.NGD.ne30pg2.corroutput.compy V200 summer ERA
V200 winter 20210719.PhaseII.F20TR-P3.NGD.ne30pg2.corroutput.compy V200 winter ERA

composite life cycles

The composite life cycles (20210719.PhaseII.F20TR-P3.NGD.ne30pg2.corroutput.compy vs obs)
summer 20210719.PhaseII.F20TR-P3.NGD.ne30pg2.corroutput.compy summer ERA
winter 20210719.PhaseII.F20TR-P3.NGD.ne30pg2.corroutput.compy winter ERA