AMWG Variability Diagnostics for Daily Data


Intraseasonal Variability

Daily 200 hPa velocity potential anomalies computed and then averaged
over 5S-5N, 20-70 day bandpass filter then applied. Hovmöller plots.
Bandpass filter response plot

CTL.F20TR.ne30pg2. Anomalies are relative to the 1981-1995 mean.
1981-1982
1983-1984
1985-1986
1987-1988
1989-1990
1991-1992
1993-1994

Anomalies computed relative to the time period mean.
NCEP Reanalysis CAM3 Amip (T85)
1981-1982 1981-1982
1983-1984 1983-1984
1985-1986 1985-1986
1987-1988 1987-1988
1989-1990 1989-1990
1991-1992 1991-1992
1993-1994 1993-1994
1995-1996
1997-1998
1999-2000

Madden-Julian Oscillation

Time series of daily 200 hPa zonal wind averaged over 10N-10S.
200 hPa zonal wind bandpass filtered for 20-100 day period.
MJO Index defined as the running variance of the bandpass filtered data.
CTL.F20TR.ne30pg2
NCEP Reanalysis
CAM3 Amip (T85)

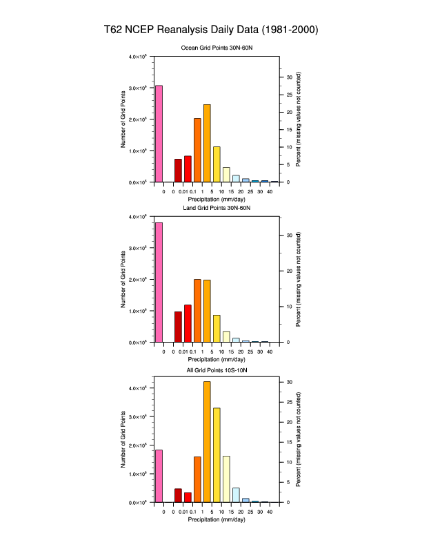
Histograms

Histograms of daily precipitation rate for the Tropics and NH Extratropics.
CTL.F20TR.ne30pg2
NCEP Reanalysis
CAM3 Amip (T85)

EOF analysis

EOF analysis 30S to 30N (lat-lon map, time series)
PRECT summer CTL.F20TR.ne30pg2 PRECT summer CTL.F20TR.ne30pg2
PRECT summer TRMM PRECT summer TRMM
PRECT winter CTL.F20TR.ne30pg2 PRECT winter CTL.F20TR.ne30pg2
PRECT winter TRMM PRECT winter TRMM
FLUT summer CTL.F20TR.ne30pg2 FLUT summer CTL.F20TR.ne30pg2
FLUT summer ERA FLUT summer ERA
FLUT winter CTL.F20TR.ne30pg2 FLUT winter CTL.F20TR.ne30pg2
FLUT winter ERA FLUT winter ERA
U850 summer CTL.F20TR.ne30pg2 U850 summer CTL.F20TR.ne30pg2
U850 summer ERA U850 summer ERA
U850 winter CTL.F20TR.ne30pg2 U850 winter CTL.F20TR.ne30pg2
U850 winter ERA U850 winter ERA
U200 summer CTL.F20TR.ne30pg2 U200 summer CTL.F20TR.ne30pg2
U200 summer ERA U200 summer ERA
U200 winter CTL.F20TR.ne30pg2 U200 winter CTL.F20TR.ne30pg2
U200 winter ERA U200 winter ERA
V200 summer CTL.F20TR.ne30pg2 V200 summer CTL.F20TR.ne30pg2
V200 summer ERA V200 summer ERA
V200 winter CTL.F20TR.ne30pg2 V200 winter CTL.F20TR.ne30pg2
V200 winter ERA V200 winter ERA

lag-cross-correlations

The climatological cross correlation plots (CTL.F20TR.ne30pg2 vs obs)
lag lat lon summer CTL.F20TR.ne30pg2 lag lat lon summer ERA
lag lat lon winter CTL.F20TR.ne30pg2 lag lat lon winter ERA
lag lat lon annual CTL.F20TR.ne30pg2 lag lat lon annual ERA

wavenumber - frequency spectra

The wavenumber - frequency spectra plots (CTL.F20TR.ne30pg2 vs obs)
PRECT summer CTL.F20TR.ne30pg2 PRECT summer TRMM
PRECT winter CTL.F20TR.ne30pg2 PRECT winter TRMM
FLUT summer CTL.F20TR.ne30pg2 FLUT summer ERA
FLUT winter CTL.F20TR.ne30pg2 FLUT winter ERA
U850 summer CTL.F20TR.ne30pg2 U850 summer ERA
U850 winter CTL.F20TR.ne30pg2 U850 winter ERA
V850 summer CTL.F20TR.ne30pg2 V850 summer ERA
V850 winter CTL.F20TR.ne30pg2 V850 winter ERA
U200 summer CTL.F20TR.ne30pg2 U200 summer ERA
U200 winter CTL.F20TR.ne30pg2 U200 winter ERA
V200 summer CTL.F20TR.ne30pg2 V200 summer ERA
V200 winter CTL.F20TR.ne30pg2 V200 winter ERA

composite life cycles

The composite life cycles (CTL.F20TR.ne30pg2 vs obs)
summer CTL.F20TR.ne30pg2 summer ERA
winter CTL.F20TR.ne30pg2 winter ERA