AMWG Variability Diagnostics for Daily Data


Intraseasonal Variability

Daily 200 hPa velocity potential anomalies computed and then averaged
over 5S-5N, 20-70 day bandpass filter then applied. Hovmöller plots.
Bandpass filter response plot

baseline_MCSP_mc_tuning. Anomalies are relative to the 1985-2009 mean.
1985-1986
1987-1988
1989-1990
1991-1992
1993-1994
1995-1996
1997-1998
1999-2000
2001-2002
2003-2004
2005-2006
2007-2008

Anomalies computed relative to the time period mean.
NCEP Reanalysis CAM3 Amip (T85)
1981-1982 1981-1982
1983-1984 1983-1984
1985-1986 1985-1986
1987-1988 1987-1988
1989-1990 1989-1990
1991-1992 1991-1992
1993-1994 1993-1994
1995-1996
1997-1998
1999-2000

Madden-Julian Oscillation

Time series of daily 200 hPa zonal wind averaged over 10N-10S.
200 hPa zonal wind bandpass filtered for 20-100 day period.
MJO Index defined as the running variance of the bandpass filtered data.
baseline_MCSP_mc_tuning
NCEP Reanalysis
CAM3 Amip (T85)

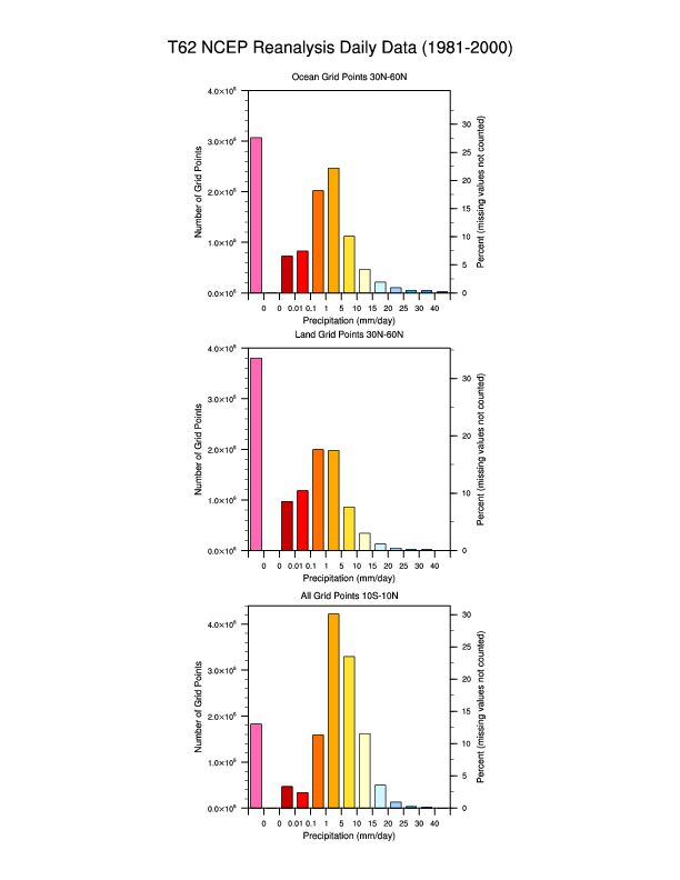
Histograms

Histograms of daily precipitation rate for the Tropics and NH Extratropics.
baseline_MCSP_mc_tuning
NCEP Reanalysis
CAM3 Amip (T85)

EOF analysis

EOF analysis 30S to 30N (lat-lon map, time series)
PRECT summer baseline_MCSP_mc_tuning PRECT summer baseline_MCSP_mc_tuning
PRECT summer TRMM PRECT summer TRMM
PRECT winter baseline_MCSP_mc_tuning PRECT winter baseline_MCSP_mc_tuning
PRECT winter TRMM PRECT winter TRMM
FLUT summer baseline_MCSP_mc_tuning FLUT summer baseline_MCSP_mc_tuning
FLUT summer ERA FLUT summer ERA
FLUT winter baseline_MCSP_mc_tuning FLUT winter baseline_MCSP_mc_tuning
FLUT winter ERA FLUT winter ERA
U850 summer baseline_MCSP_mc_tuning U850 summer baseline_MCSP_mc_tuning
U850 summer ERA U850 summer ERA
U850 winter baseline_MCSP_mc_tuning U850 winter baseline_MCSP_mc_tuning
U850 winter ERA U850 winter ERA
U200 summer baseline_MCSP_mc_tuning U200 summer baseline_MCSP_mc_tuning
U200 summer ERA U200 summer ERA
U200 winter baseline_MCSP_mc_tuning U200 winter baseline_MCSP_mc_tuning
U200 winter ERA U200 winter ERA
V200 summer baseline_MCSP_mc_tuning V200 summer baseline_MCSP_mc_tuning
V200 summer ERA V200 summer ERA
V200 winter baseline_MCSP_mc_tuning V200 winter baseline_MCSP_mc_tuning
V200 winter ERA V200 winter ERA

lag-cross-correlations

The climatological cross correlation plots (baseline_MCSP_mc_tuning vs obs)
lag lat lon summer baseline_MCSP_mc_tuning lag lat lon summer ERA
lag lat lon winter baseline_MCSP_mc_tuning lag lat lon winter ERA
lag lat lon annual baseline_MCSP_mc_tuning lag lat lon annual ERA

wavenumber - frequency spectra

The wavenumber - frequency spectra plots (baseline_MCSP_mc_tuning vs obs)
PRECT summer baseline_MCSP_mc_tuning PRECT summer TRMM
PRECT winter baseline_MCSP_mc_tuning PRECT winter TRMM
FLUT summer baseline_MCSP_mc_tuning FLUT summer ERA
FLUT winter baseline_MCSP_mc_tuning FLUT winter ERA
U850 summer baseline_MCSP_mc_tuning U850 summer ERA
U850 winter baseline_MCSP_mc_tuning U850 winter ERA
V850 summer baseline_MCSP_mc_tuning V850 summer ERA
V850 winter baseline_MCSP_mc_tuning V850 winter ERA
U200 summer baseline_MCSP_mc_tuning U200 summer ERA
U200 winter baseline_MCSP_mc_tuning U200 winter ERA
V200 summer baseline_MCSP_mc_tuning V200 summer ERA
V200 winter baseline_MCSP_mc_tuning V200 winter ERA

composite life cycles

The composite life cycles (baseline_MCSP_mc_tuning vs obs)
summer baseline_MCSP_mc_tuning summer ERA
winter baseline_MCSP_mc_tuning winter ERA