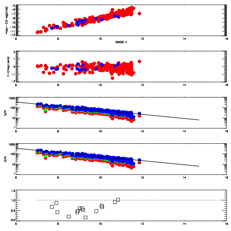
PLATE:8945 MJD: 57504 FIELD: 155+65_MGA

FrameCartsec zseeingNreadsDitherPixshiftZerosky continuumS/NS/N(cframe)
19420010 6 1.03 1.38 42 0.00 -0.00 18.16 [14.89,14.65,14.60] [ 13.5, 22.1, 23.6] [ 13.4, 5.5, 21.3]
19420011 6 1.03 1.37 42 0.49 -0.00 18.17 [15.03,14.97,14.86] [ 13.8, 22.5, 24.0] [ 13.2, 5.4, 21.1]
19420012 6 1.03 1.17 42 0.49 -0.00 18.55 [14.54,14.76,14.87] [ 4.4, 9.1, 9.0] [ 17.8, 7.1, 27.6]
19420013 6 1.03 1.53 42 0.00 0.00 18.43 [14.86,14.80,14.88] [ 4.0, 8.1, 8.1] [ 16.7, 6.6, 25.7]

IPAIRNAMESHIFTNEWSHIFTS/N NAMESHIFTNEWSHIFTS/N
0 19420011 0.489 0.000 18.11 19420010 0.000 0.489 18.11
1 19420012 0.488 0.000 18.52 19420013 0.001 0.488 18.40

Visit (multiple exposure and dither combined) spectra

FrameZeropointsMag plots Spatial mag deviation Spatial sky telluric CH4 Spatial sky telluric CO2 Spatial sky telluric H2O Spatial sky 16325A emission deviations (filled: sky, open: star) Spatial sky continuum emission
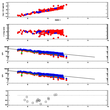
19420010
RedGreenBlue
z18.16
znorm14.10
sky 14.9 14.6 14.6
S/N 13.5 22.1 23.6
S/N(c) 13.4 5.5 21.3
SN(E/C) 0.61
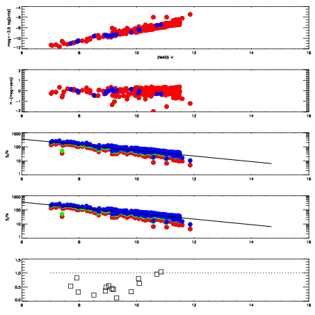
19420011
RedGreenBlue
z18.17
znorm14.11
sky 15.0 15.0 14.9
S/N 13.8 22.5 24.0
S/N(c) 13.2 5.4 21.1
SN(E/C) 0.60
19420012
RedGreenBlue
z18.55
znorm14.50
sky 14.5 14.8 14.9
S/N 4.4 9.1 9.0
S/N(c) 17.8 7.1 27.6
SN(E/C) 0.49
19420013
RedGreenBlue
z18.43
znorm14.37
sky 14.9 14.8 14.9
S/N 4.0 8.1 8.1
S/N(c) 16.7 6.6 25.7
SN(E/C) 0.49