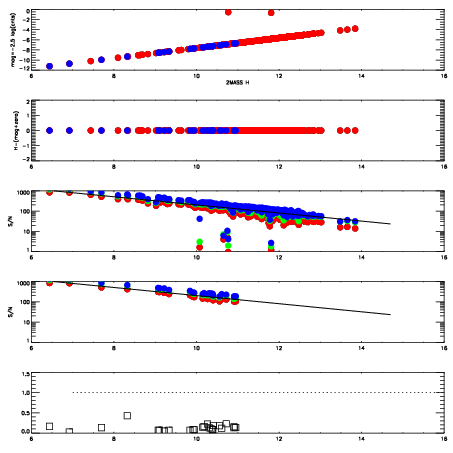
Left plots: red are targets, blue are telluric. Observed mags are calculated from median value of green chip. Zeropoint gives overall throughput: bigger number is more throughput.
First spatial plots: circles are objects, squares are tellurics, crosses are sky fibers. Colors give deviation of observed mag from expected 2MASS mag using the median zeropoint; red is brighter
Second spatial plots: circles are sky fibers. Colors give sky line brightness relative to plate median sky line brightness
FrameNreadsZeropointsMag plots Spatial mag deviation Spatial sky 16325A emission deviations (filled: sky, open: star) Spatial sky continuum emission Spatial sky telluric CO2 absorption deviations (filled: H < 10)
0 0
RedGreenBlue
z17.64
znorm Inf
sky -NaN -Inf -Inf
S/N 46.7 74.4 93.1
S/N(c) 0.0 0.0 0.0
SN(E/C) 0.13

01600067 0.00000 19.1490
01600068 0.00000 19.1141
01600069 0.00000 19.1136
01600070 0.00000 19.1828
01600071 0.00000 19.1740
01600072 0.00000 19.1959
01600073 0.00000 19.2246
01600074 0.00000 19.2234
01600075 0.00000 19.2009
01600076 0.00000 19.1798
01600077 0.00000 19.2088