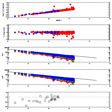
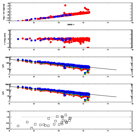
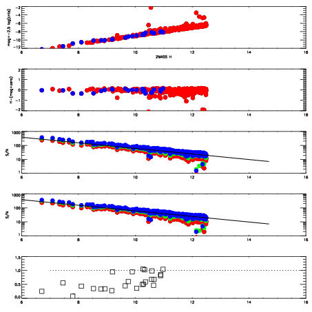
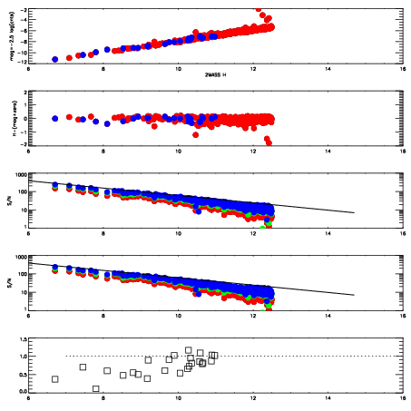
Frame | Nreads | Zeropoints | Mag plots
| Spatial mag deviation
| Spatial sky 16325A emission deviations (filled: sky, open: star)
| Spatial sky continuum emission
| Spatial sky telluric CO2 absorption deviations (filled: H < 10)
|
1910012
| 50
| | Red | Green | Blue
| z | | 18.98
| znorm | | 14.74
| sky | 14.2 | 13.8 | 13.9
| S/N | 14.8 | 22.2 | 27.6
| S/N(c) | 14.5 | 14.9 | 40.0
| SN(E/C) | 0.55
|
|
|
|
|
|
|
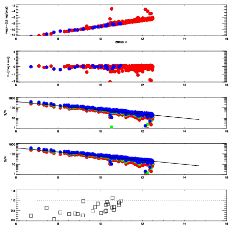
1910013
| 50
| | Red | Green | Blue
| z | | 18.95
| znorm | | 14.71
| sky | 14.5 | 14.1 | 14.3
| S/N | 14.5 | 21.7 | 27.0
| S/N(c) | 14.0 | 14.5 | 39.5
| SN(E/C) | 0.57
|
|
|
|
|
|
|
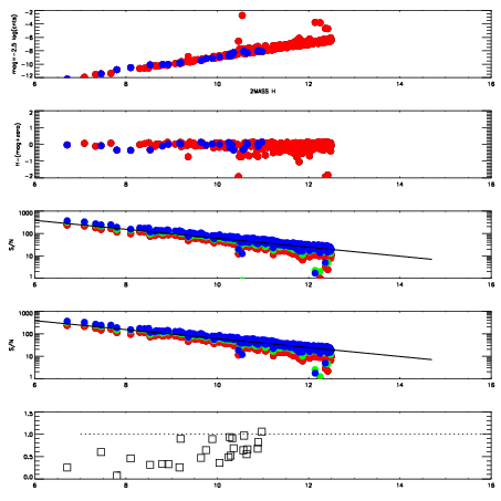
1910014
| 50
| | Red | Green | Blue
| z | | 18.96
| znorm | | 14.71
| sky | 14.4 | 14.1 | 14.4
| S/N | 14.3 | 21.7 | 26.6
| S/N(c) | 13.9 | 14.7 | 39.2
| SN(E/C) | 0.60
|
|
|
|
|
|
|
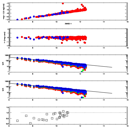
1910015
| 50
| | Red | Green | Blue
| z | | 18.98
| znorm | | 14.73
| sky | 14.3 | 14.3 | 14.3
| S/N | 14.3 | 22.0 | 26.3
| S/N(c) | 14.2 | 14.7 | 39.3
| SN(E/C) | 0.62
|
|
|
|
|
|
|
1910016
| 50
| | Red | Green | Blue
| z | | 18.49
| znorm | | 14.24
| sky | 13.8 | 13.7 | 13.8
| S/N | 9.8 | 15.9 | 19.7
| S/N(c) | 9.8 | 11.0 | 29.2
| SN(E/C) | 0.64
|
|
|
|
|
|
|
1910017
| 50
| | Red | Green | Blue
| z | | 17.87
| znorm | | 13.62
| sky | 13.5 | 13.4 | 13.5
| S/N | 5.7 | 10.0 | 12.3
| S/N(c) | 6.3 | 7.2 | 21.0
| SN(E/C) | 0.77
|
|
|
|
|
|
|
1910018
| 50
| | Red | Green | Blue
| z | | 17.94
| znorm | | 13.70
| sky | 13.4 | 13.4 | 13.4
| S/N | 6.2 | 10.5 | 12.3
| S/N(c) | 6.7 | 7.6 | 21.8
| SN(E/C) | 0.79
|
|
|
|
|
|
|
1910019
| 50
| | Red | Green | Blue
| z | | 18.50
| znorm | | 14.25
| sky | 14.0 | 14.0 | 14.0
| S/N | 10.2 | 16.7 | 19.4
| S/N(c) | 10.4 | 11.2 | 30.8
| SN(E/C) | 0.73
|
|
|
|
|
|
|