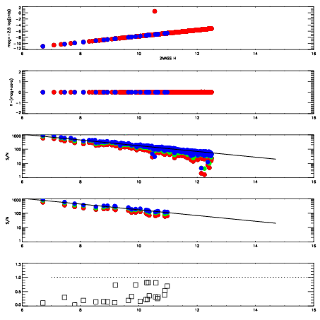
Left plots: red are targets, blue are telluric. Observed mags are calculated from median value of green chip. Zeropoint gives overall throughput: bigger number is more throughput.
First spatial plots: circles are objects, squares are tellurics, crosses are sky fibers. Colors give deviation of observed mag from expected 2MASS mag using the median zeropoint; red is brighter
Second spatial plots: circles are sky fibers. Colors give sky line brightness relative to plate median sky line brightness
FrameNreadsZeropointsMag plots Spatial mag deviation Spatial sky 16325A emission deviations (filled: sky, open: star) Spatial sky continuum emission Spatial sky telluric CO2 absorption deviations (filled: H < 10)
0 0
RedGreenBlue
z17.64
znorm Inf
sky -Inf -NaN -Inf
S/N 29.7 47.0 59.4
S/N(c) 0.0 0.0 0.0
SN(E/C) 0.30

01910012 0.00000 18.9847
01910013 0.00000 18.9402
01910014 0.00000 18.9608
01910015 0.00000 18.9695
01910016 0.00000 18.4743
01910017 0.00000 17.8591
01910018 0.00000 17.9469
01910019 0.00000 18.4964