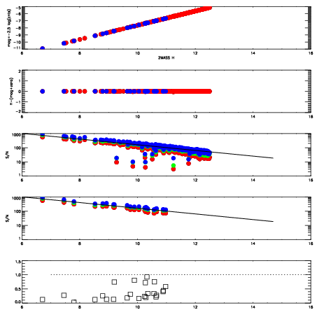
Left plots: red are targets, blue are telluric. Observed mags are calculated from median value of green chip. Zeropoint gives overall throughput: bigger number is more throughput.
First spatial plots: circles are objects, squares are tellurics, crosses are sky fibers. Colors give deviation of observed mag from expected 2MASS mag using the median zeropoint; red is brighter
Second spatial plots: circles are sky fibers. Colors give sky line brightness relative to plate median sky line brightness
FrameNreadsZeropointsMag plots Spatial mag deviation Spatial sky 16325A emission deviations (filled: sky, open: star) Spatial sky continuum emission Spatial sky telluric CO2 absorption deviations (filled: H < 10)
0 0
RedGreenBlue
z17.63
znorm Inf
sky -NaN -NaN -Inf
S/N 32.1 56.5 63.8
S/N(c) 0.0 0.0 0.0
SN(E/C) 0.28

01960010 0.00000 18.8906
01960011 0.00000 18.9149
01960012 0.00000 18.8090
01960013 0.00000 18.8878
01960014 0.00000 19.0186
01960015 0.00000 18.9817
01960016 0.00000 19.0434