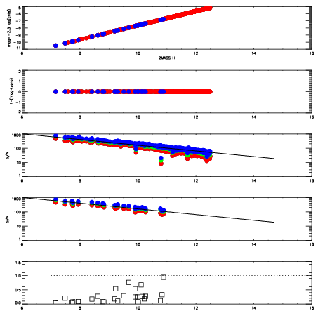
Left plots: red are targets, blue are telluric. Observed mags are calculated from median value of green chip. Zeropoint gives overall throughput: bigger number is more throughput.
First spatial plots: circles are objects, squares are tellurics, crosses are sky fibers. Colors give deviation of observed mag from expected 2MASS mag using the median zeropoint; red is brighter
Second spatial plots: circles are sky fibers. Colors give sky line brightness relative to plate median sky line brightness
FrameNreadsZeropointsMag plots Spatial mag deviation Spatial sky 16325A emission deviations (filled: sky, open: star) Spatial sky continuum emission Spatial sky telluric CO2 absorption deviations (filled: H < 10)
0 0
RedGreenBlue
z17.64
znorm Inf
sky -NaN -Inf -Inf
S/N 32.5 54.8 65.0
S/N(c) 0.0 0.0 0.0
SN(E/C) 0.20

01890029 0.00000 18.8868
01890030 0.00000 18.9322
01890031 0.00000 18.9501
01890032 0.00000 18.9707
01890033 0.00000 19.0264
01890034 0.00000 19.0211
01890035 0.00000 18.9666