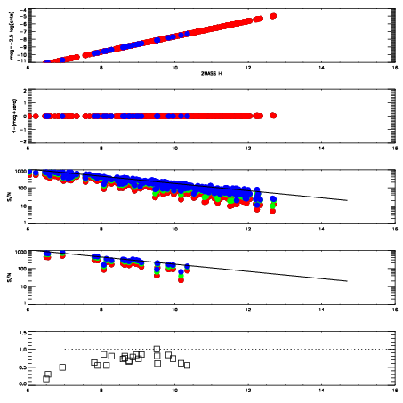
Left plots: red are targets, blue are telluric. Observed mags are calculated from median value of green chip. Zeropoint gives overall throughput: bigger number is more throughput.
First spatial plots: circles are objects, squares are tellurics, crosses are sky fibers. Colors give deviation of observed mag from expected 2MASS mag using the median zeropoint; red is brighter
Second spatial plots: circles are sky fibers. Colors give sky line brightness relative to plate median sky line brightness
FrameNreadsZeropointsMag plots Spatial mag deviation Spatial sky 16325A emission deviations (filled: sky, open: star) Spatial sky continuum emission Spatial sky telluric CO2 absorption deviations (filled: H < 10)
0 0
RedGreenBlue
z17.64
znorm Inf
sky -Inf -Inf -Inf
S/N 23.7 40.6 46.3
S/N(c) 0.0 0.0 0.0
SN(E/C) 0.73

01710051 0.00000 18.2670
01710052 0.00000 18.2630
01710053 0.00000 18.3809
01710054 0.00000 18.2608
01710055 0.00000 18.1829
01710056 0.00000 18.1203
01710057 0.00000 18.0201
01710058 0.00000 18.0058