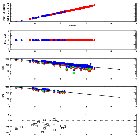
Left plots: red are targets, blue are telluric. Observed mags are calculated from median value of green chip. Zeropoint gives overall throughput: bigger number is more throughput.
First spatial plots: circles are objects, squares are tellurics, crosses are sky fibers. Colors give deviation of observed mag from expected 2MASS mag using the median zeropoint; red is brighter
Second spatial plots: circles are sky fibers. Colors give sky line brightness relative to plate median sky line brightness
FrameNreadsZeropointsMag plots Spatial mag deviation Spatial sky 16325A emission deviations (filled: sky, open: star) Spatial sky continuum emission Spatial sky telluric CO2 absorption deviations (filled: H < 10)
0 0
RedGreenBlue
z17.63
znorm Inf
sky -NaN -NaN -Inf
S/N 29.0 44.2 52.0
S/N(c) 0.0 0.0 0.0
SN(E/C) 0.56

01400076 0.00000 18.9920
01400078 0.00000 14.6435
01400079 0.00000 18.9401
01400080 0.00000 19.0343
01400081 0.00000 18.9519
01400082 0.00000 18.9299
01400083 0.00000 18.7633