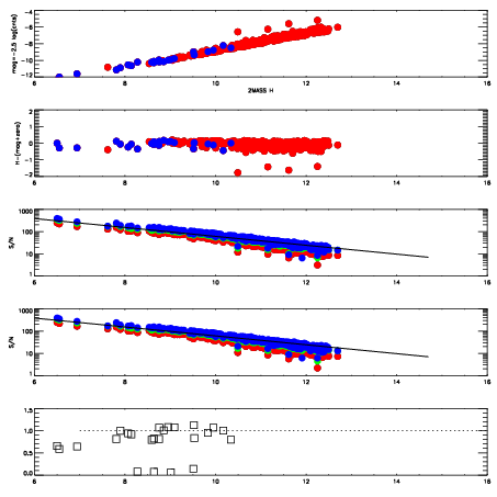
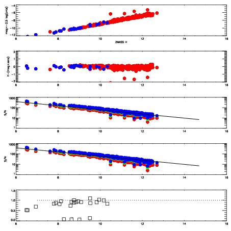
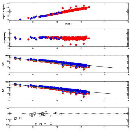
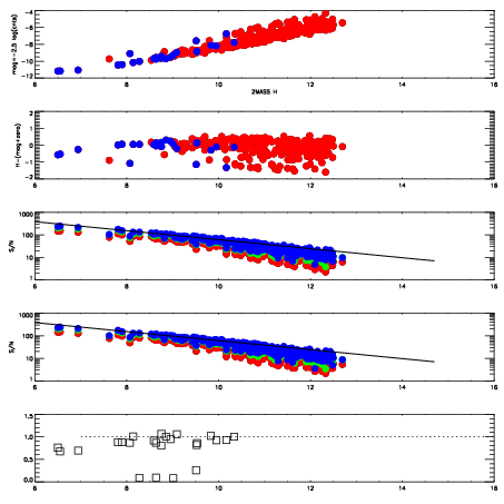
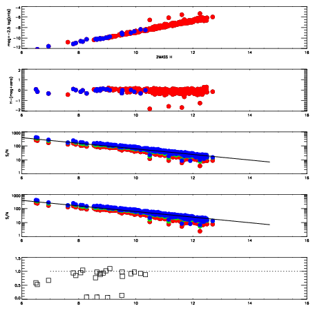
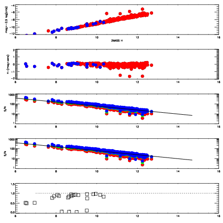
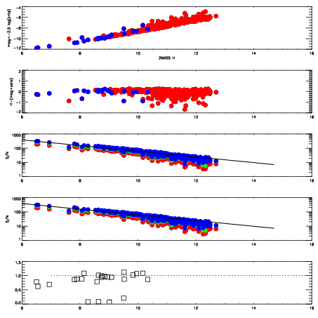
Frame | Nreads | Zeropoints | Mag plots
| Spatial mag deviation
| Spatial sky 16325A emission deviations (filled: sky, open: star)
| Spatial sky continuum emission
| Spatial sky telluric CO2 absorption deviations (filled: H < 10)
|
1720055
| 50
| | Red | Green | Blue
| z | | 18.24
| znorm | | 13.99
| sky | 14.1 | 13.8 | 13.9
| S/N | 8.0 | 13.7 | 14.0
| S/N(c) | 15.8 | 5.4 | 5.2
| SN(E/C) | 0.87
|
|
|
|
|
|
|
1720056
| 50
| | Red | Green | Blue
| z | | 18.54
| znorm | | 14.29
| sky | 14.1 | 14.1 | 14.3
| S/N | 10.2 | 16.9 | 18.5
| S/N(c) | 18.5 | 6.4 | 6.1
| SN(E/C) | 0.87
|
|
|
|
|
|
|
1720057
| 50
| | Red | Green | Blue
| z | | 18.83
| znorm | | 14.58
| sky | 14.2 | 14.1 | 14.2
| S/N | 13.3 | 20.9 | 23.4
| S/N(c) | 23.7 | 7.6 | 7.4
| SN(E/C) | 0.91
|
|
|
|
|
|
|
1720058
| 50
| | Red | Green | Blue
| z | | 18.80
| znorm | | 14.55
| sky | 14.2 | 14.2 | 14.4
| S/N | 13.3 | 20.6 | 23.5
| S/N(c) | 22.9 | 7.4 | 7.2
| SN(E/C) | 0.87
|
|
|
|
|
|
|
1720059
| 50
| | Red | Green | Blue
| z | | 18.90
| znorm | | 14.66
| sky | 14.2 | 14.1 | 14.3
| S/N | 13.8 | 21.7 | 24.9
| S/N(c) | 24.7 | 7.8 | 7.6
| SN(E/C) | 0.89
|
|
|
|
|
|
|
1720060
| 50
| | Red | Green | Blue
| z | | 18.95
| znorm | | 14.71
| sky | 14.2 | 14.2 | 14.3
| S/N | 14.2 | 22.6 | 25.3
| S/N(c) | 25.2 | 8.0 | 7.8
| SN(E/C) | 0.87
|
|
|
|
|
|
|
1720061
| 50
| | Red | Green | Blue
| z | | 19.05
| znorm | | 14.81
| sky | 14.3 | 14.2 | 14.2
| S/N | 15.2 | 23.9 | 26.0
| S/N(c) | 26.6 | 8.4 | 8.1
| SN(E/C) | 0.85
|
|
|
|
|
|
|
1720062
| 50
| | Red | Green | Blue
| z | | 18.84
| znorm | | 14.59
| sky | 14.2 | 14.2 | 14.2
| S/N | 12.4 | 20.4 | 22.3
| S/N(c) | 22.6 | 7.5 | 7.1
| SN(E/C) | 0.84
|
|
|
|
|
|
|