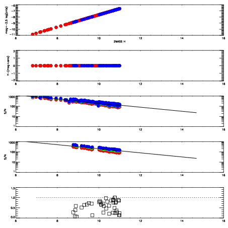
Left plots: red are targets, blue are telluric. Observed mags are calculated from median value of green chip. Zeropoint gives overall throughput: bigger number is more throughput.
First spatial plots: circles are objects, squares are tellurics, crosses are sky fibers. Colors give deviation of observed mag from expected 2MASS mag using the median zeropoint; red is brighter
Second spatial plots: circles are sky fibers. Colors give sky line brightness relative to plate median sky line brightness
FrameNreadsZeropointsMag plots Spatial mag deviation Spatial sky 16325A emission deviations (filled: sky, open: star) Spatial sky continuum emission Spatial sky telluric CO2 absorption deviations (filled: H < 10)
0 0
RedGreenBlue
z17.64
znorm Inf
sky -Inf -Inf -Inf
S/N 54.4 78.7 82.7
S/N(c) 0.0 0.0 0.0
SN(E/C) 0.65

01630046 0.00000 18.9971
01630047 0.00000 18.9648
01630048 0.00000 19.0118
01630049 0.00000 18.9681
01630050 0.00000 18.9992
01630051 0.00000 19.0358
01630052 0.00000 18.9968
01630053 0.00000 18.9928
01630054 0.00000 18.9991
01630055 0.00000 18.9111
01630056 0.00000 18.8318