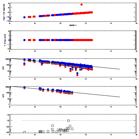
Left plots: red are targets, blue are telluric. Observed mags are calculated from median value of green chip. Zeropoint gives overall throughput: bigger number is more throughput.
First spatial plots: circles are objects, squares are tellurics, crosses are sky fibers. Colors give deviation of observed mag from expected 2MASS mag using the median zeropoint; red is brighter
Second spatial plots: circles are sky fibers. Colors give sky line brightness relative to plate median sky line brightness
FrameNreadsZeropointsMag plots Spatial mag deviation Spatial sky 16325A emission deviations (filled: sky, open: star) Spatial sky continuum emission Spatial sky telluric CO2 absorption deviations (filled: H < 10)
0 0
RedGreenBlue
z17.63
znorm Inf
sky -NaN -NaN -Inf
S/N 33.0 56.3 62.4
S/N(c) 0.0 0.0 0.0
SN(E/C) 0.21

01680011 0.00000 18.4155
01680012 0.00000 18.5706
01680013 0.00000 18.8488
01680014 0.00000 18.9792
01680015 0.00000 18.9309
01680016 0.00000 18.8761
01680017 0.00000 18.8945
01680018 0.00000 19.0526