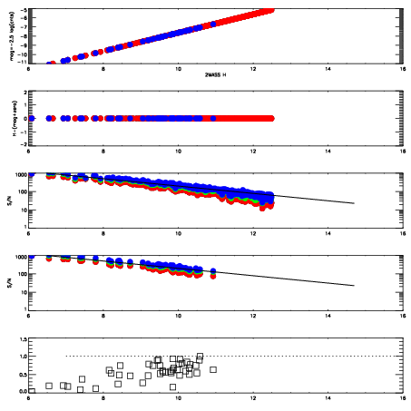
Left plots: red are targets, blue are telluric. Observed mags are calculated from median value of green chip. Zeropoint gives overall throughput: bigger number is more throughput.
First spatial plots: circles are objects, squares are tellurics, crosses are sky fibers. Colors give deviation of observed mag from expected 2MASS mag using the median zeropoint; red is brighter
Second spatial plots: circles are sky fibers. Colors give sky line brightness relative to plate median sky line brightness
FrameNreadsZeropointsMag plots Spatial mag deviation Spatial sky 16325A emission deviations (filled: sky, open: star) Spatial sky continuum emission Spatial sky telluric CO2 absorption deviations (filled: H < 10)
0 0
RedGreenBlue
z17.63
znorm Inf
sky -NaN -NaN -Inf
S/N 35.0 61.1 67.4
S/N(c) 0.0 0.0 0.0
SN(E/C) 0.59

01650076 0.00000 18.1771
01650077 0.00000 18.1361
01650078 0.00000 17.4746
01650079 0.00000 16.4544
01650080 0.00000 18.2506
01650081 0.00000 17.8220
01650082 0.00000 17.0975
01650083 0.00000 16.0497
01650084 0.00000 18.2025
01650085 0.00000 18.9557
01650086 0.00000 18.9835
01650087 0.00000 18.9853
01650088 0.00000 19.0295
01650089 0.00000 19.0139
01650090 0.00000 19.0292