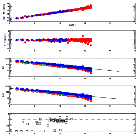
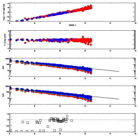
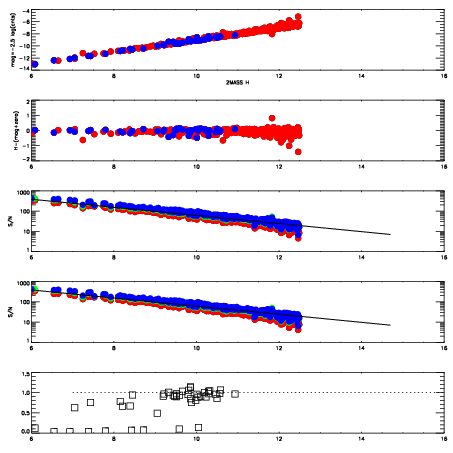
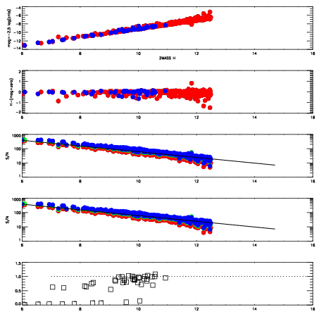
Frame | Nreads | Zeropoints | Mag plots
| Spatial mag deviation
| Spatial sky 16325A emission deviations (filled: sky, open: star)
| Spatial sky continuum emission
| Spatial sky telluric CO2 absorption deviations (filled: H < 10)
|
1950047
| 50
| | Red | Green | Blue
| z | | 19.10
| znorm | | 14.86
| sky | 14.2 | 13.9 | 13.9
| S/N | 14.3 | 22.2 | 23.6
| S/N(c) | 28.9 | 26.0 | 4.7
| SN(E/C) | 0.91
|
|
|
|
|
|
|
1950048
| 50
| | Red | Green | Blue
| z | | 19.06
| znorm | | 14.81
| sky | 14.2 | 14.1 | 14.3
| S/N | 13.5 | 21.4 | 23.1
| S/N(c) | 28.2 | 25.2 | 4.6
| SN(E/C) | 0.91
|
|
|
|
|
|
|
1950049
| 50
| | Red | Green | Blue
| z | | 18.99
| znorm | | 14.75
| sky | 14.4 | 14.3 | 14.2
| S/N | 13.3 | 20.6 | 21.7
| S/N(c) | 26.7 | 25.0 | 4.4
| SN(E/C) | 0.87
|
|
|
|
|
|
|
1950050
| 50
| | Red | Green | Blue
| z | | 18.93
| znorm | | 14.69
| sky | 14.1 | 14.1 | 14.1
| S/N | 12.9 | 19.7 | 21.0
| S/N(c) | 26.0 | 24.0 | 4.4
| SN(E/C) | 0.90
|
|
|
|
|
|
|
1950051
| 50
| | Red | Green | Blue
| z | | 18.97
| znorm | | 14.72
| sky | 14.2 | 14.1 | 14.0
| S/N | 13.5 | 20.2 | 21.1
| S/N(c) | 26.3 | 24.3 | 4.4
| SN(E/C) | 0.89
|
|
|
|
|
|
|
1950052
| 50
| | Red | Green | Blue
| z | | 18.91
| znorm | | 14.66
| sky | 14.2 | 14.1 | 13.9
| S/N | 12.8 | 19.5 | 20.2
| S/N(c) | 25.4 | 23.3 | 4.4
| SN(E/C) | 0.93
|
|
|
|
|
|
|
1950053
| 50
| | Red | Green | Blue
| z | | 18.67
| znorm | | 14.42
| sky | 14.0 | 13.9 | 13.9
| S/N | 10.1 | 16.8 | 17.4
| S/N(c) | 22.9 | 20.7 | 3.8
| SN(E/C) | 0.88
|
|
|
|
|
|
|
1950056
| 50
| | Red | Green | Blue
| z | | 19.18
| znorm | | 14.93
| sky | 14.2 | 13.9 | 13.7
| S/N | 15.1 | 22.4 | 24.1
| S/N(c) | 29.6 | 25.5 | 4.7
| SN(E/C) | 0.84
|
|
|
|
|
|
|
1950057
| 50
| | Red | Green | Blue
| z | | 18.82
| znorm | | 14.58
| sky | 14.2 | 14.0 | 14.1
| S/N | 11.6 | 18.8 | 19.6
| S/N(c) | 24.8 | 22.2 | 4.1
| SN(E/C) | 0.93
|
|
|
|
|
|
|